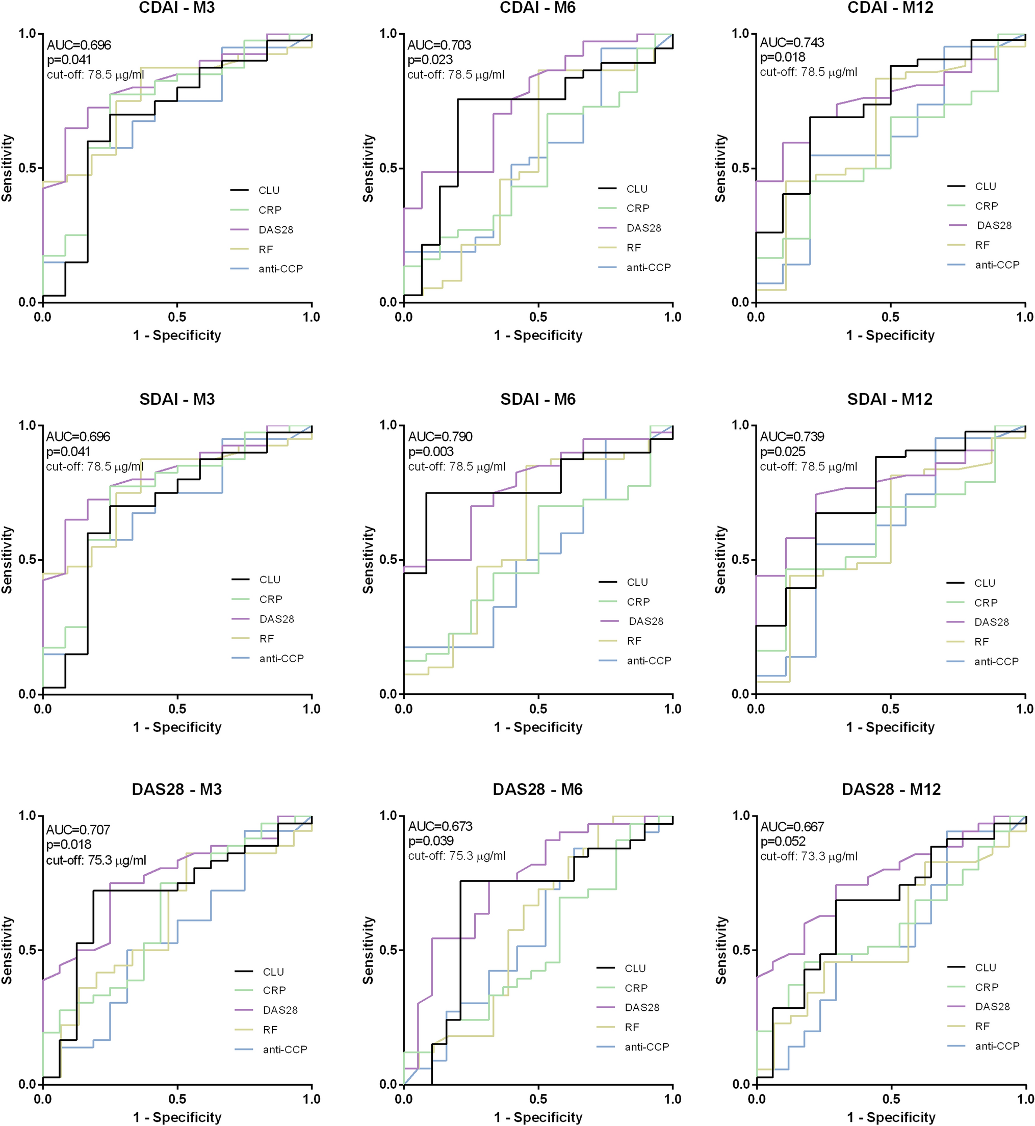
Figure 3

ROC curve analysis of baseline CLU levels, DAS28, RF, anti-CCP and CRP levels for prediction of achieving low disease activity or remission after 3, 6 and 12 months of treatment according to the CDAI, SDAI and DAS28.

ROC curve analysis of baseline CLU levels, DAS28, RF, anti-CCP and CRP levels for prediction of achieving low disease activity or remission after 3, 6 and 12 months of treatment according to the CDAI, SDAI and DAS28.