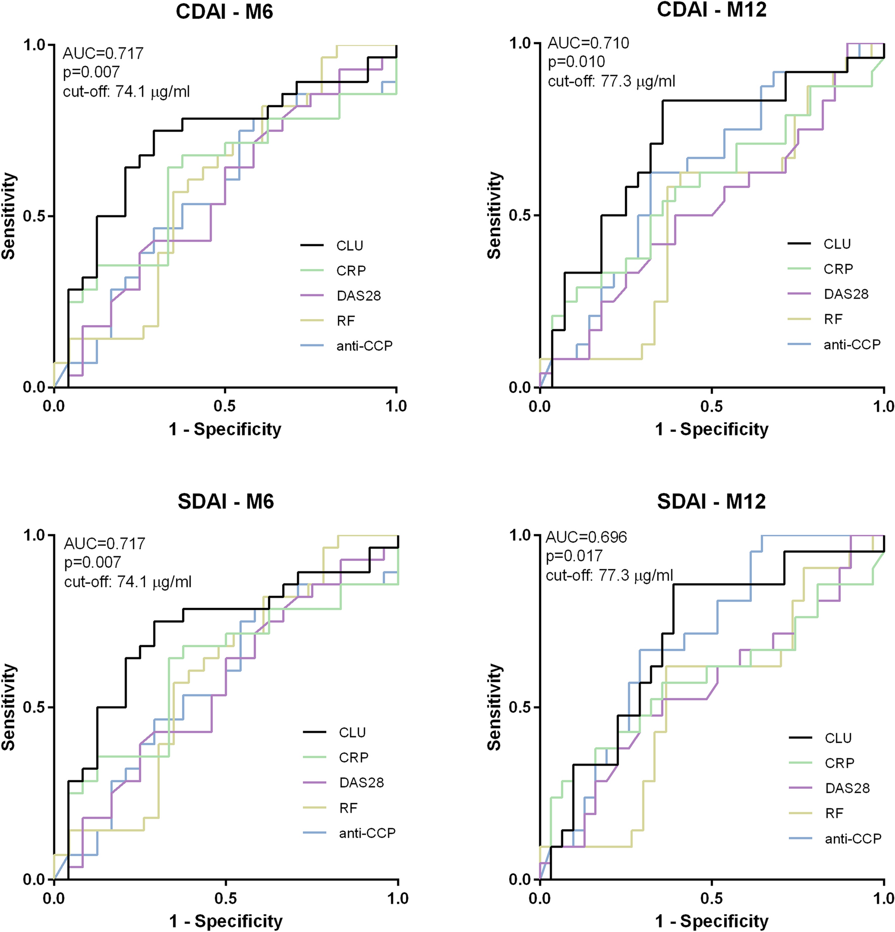
Figure 4

ROC curve analysis of baseline CLU levels, DAS28, RF, anti-CCP and CRP levels for prediction of achieving major treatment response after 6 and 12 months of treatment according to the CDAI and SDAI.

ROC curve analysis of baseline CLU levels, DAS28, RF, anti-CCP and CRP levels for prediction of achieving major treatment response after 6 and 12 months of treatment according to the CDAI and SDAI.