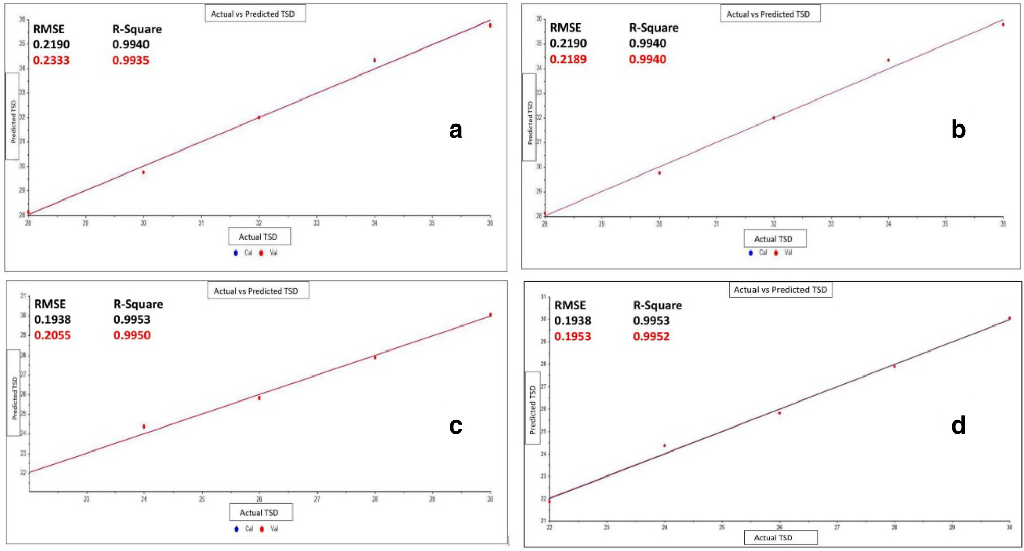
Figure 5

PLSR plots of (a) actual vs cross validated prediction of TSD for semen (100%), (b) actual vs externally validated prediction of TSD for semen (100%), (c) actual vs cross validated prediction of TSD for urine (100%), (d) actual vs externally validated prediction of TSD for urine (100%).