Figure 4
From: The influence of δ-(Al,Fe)OOH on seismic heterogeneities in Earth’s lower mantle

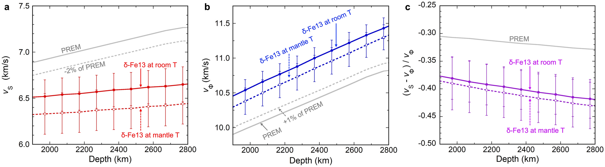
The depth–velocity profiles of δ-Fe13 and PREM36: (a) vS, (b) vΦ, and (c) (vS − vΦ)/vΦ. The plots of δ-Fe13 at room T (solid circle) and mantle T (open circle) indicate the velocities of δ-Fe13 at room temperature and along an average mantle geotherm48, respectively. The calculation procedure of vS and vΦ of δ-Fe13 under these conditions is explained in the main text. The velocities of δ-Fe13 shown in this figure are determined using the density of δ-Fe13-r2 with natural mass of Fe. The dotted gray lines indicating − 2% of vS and + 1% of vΦ relative to PREM (solid gray lines) are regarded as reasonable perturbations for each respective velocity within the LLSVPs, based on the SB10L18 model27. The degree of anti-correlation between vS and vΦ in δ-Fe13 is considered to be larger than the maximum anti-correlation observed in the LLSVPs. Estimated uncertainties for δ-Fe13 are shown by the vertical bars. The numerical values for the data shown in this figure are available in Table S3.