Figure 2
From: Uncovering of cytochrome P450 anatomy by SecStrAnnotator

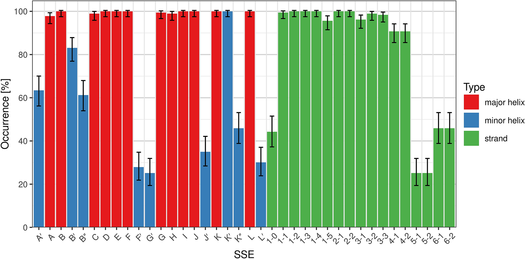
Frequency of occurrence of individual SSE classes. Error bars show confidence intervals calculated by the Agresti-Coull method for α = 0.0536.
From: Uncovering of cytochrome P450 anatomy by SecStrAnnotator

Frequency of occurrence of individual SSE classes. Error bars show confidence intervals calculated by the Agresti-Coull method for α = 0.0536.