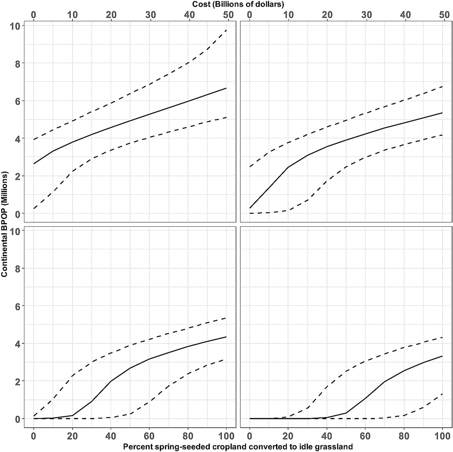
Figure 3

Predicted relationship between conversion of spring-seeded cropland to idle grassland within the Prairie Pothole Region and the equilibrium population size of northern pintails at the start of the breeding season. The population size at the x-intercept (i.e., % converted = 0) corresponds with the Increase Winter Wheat scenario. Panels represent predicted relationships under particular proportions of all pintails harvested (i.e., harvest rate; h). A harvest rate of zero represents a closed hunting season, and the remaining represent the uncertainty about harvest rate expected under a bag limit of one pintail. Cost of habitat conversion (secondary x-axis) is given in 2016 USD. Solid line is based on mean values for all parameters, and the dashed lines are based on the upper and lower 95% confidence intervals for parameters derived from available empirical data.