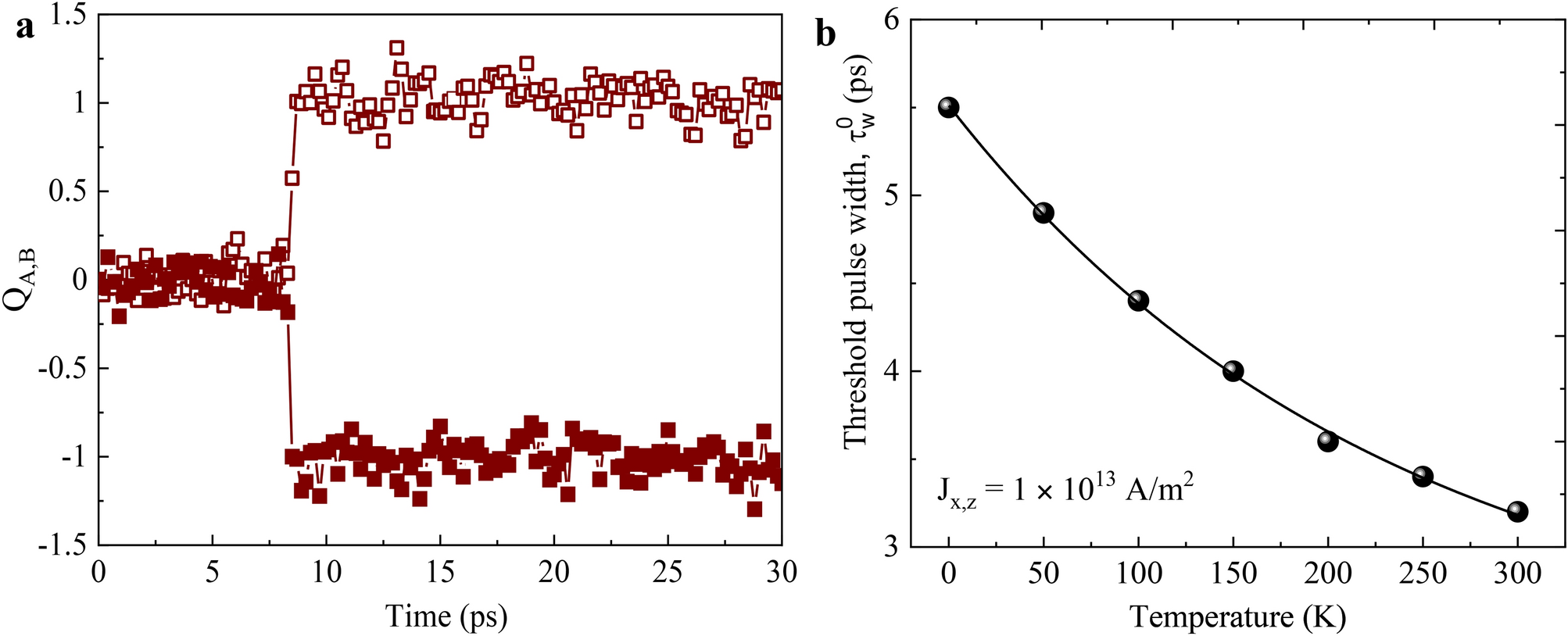
Figure 5

(a) Time evolution of topological charge at (\(T =\)300 K) for sub-lattice A (open symbols) and B (closed symbols) of the AFM skyrmion. (b) Variation of threshold pulse width on the temperature at fixed current density (\(J_{x,z}=1 \times 10^{13}\) A/m\(^2\)).