Figure 6
From: Insulin resistance is linked to a specific profile of immune activation in human subjects

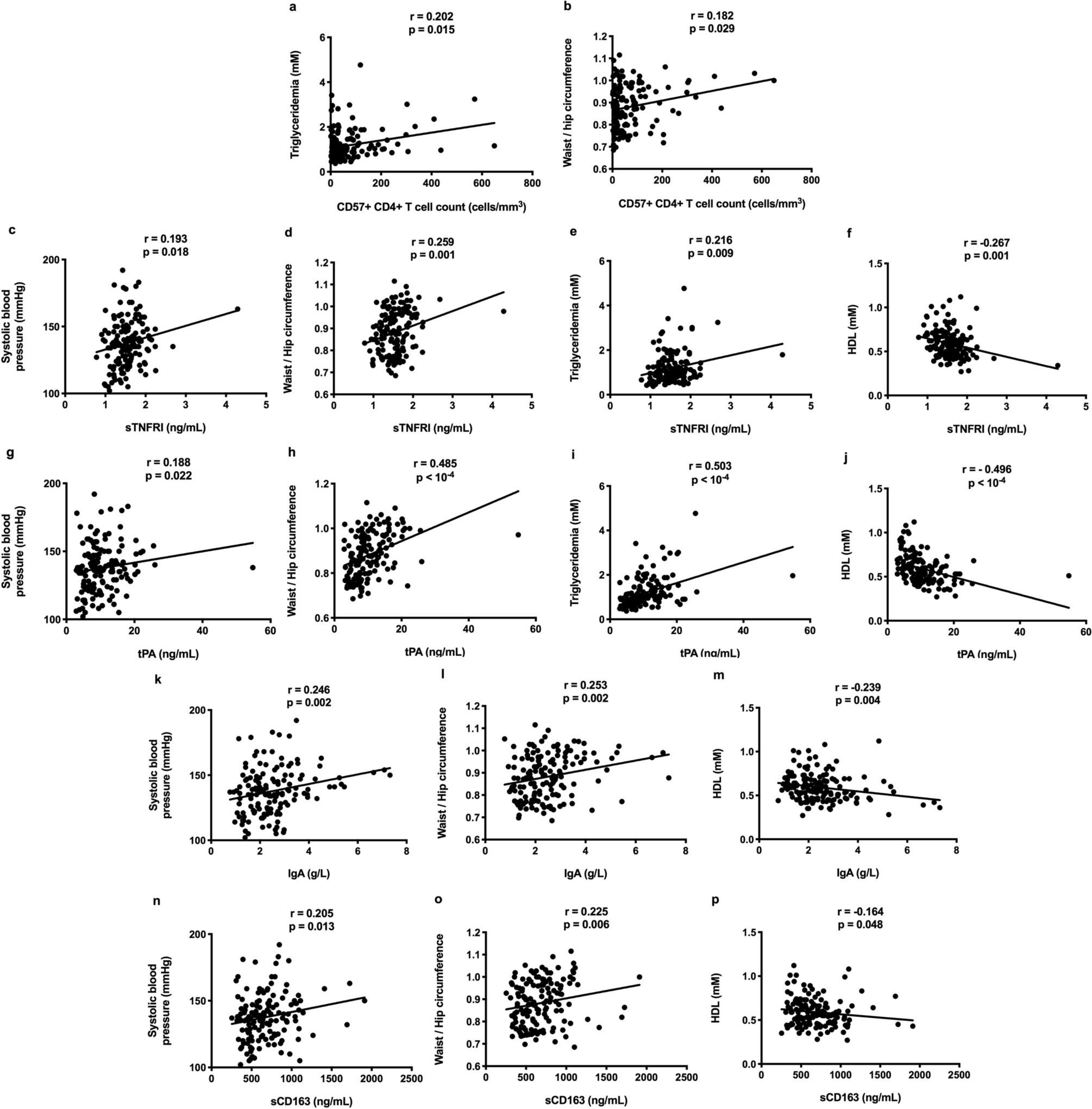
Links between various activation markers and markers of metabolic syndrome in the whole population.
From: Insulin resistance is linked to a specific profile of immune activation in human subjects

Links between various activation markers and markers of metabolic syndrome in the whole population.