Figure 4
From: Structural and functional insights into the mechanism of action of plant borate transporters

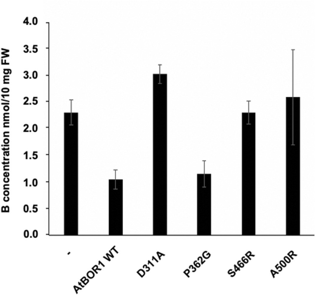
Borate efflux activity of the AtBOR1 variants in yeast. FGY217 Δbor1p cells expressing each of the AtBOR1 proteins were assessed for their ability to export boron relative to control cells transformed with vector only. −  = vector only control. Intracellular B content (nmol/10 mg FW) after 60 min incubation of cells in 1 mM boric acid. Values have been normalised to GFP concentration. Data shown is mean ± S.D. of n = 3 independent experiments.