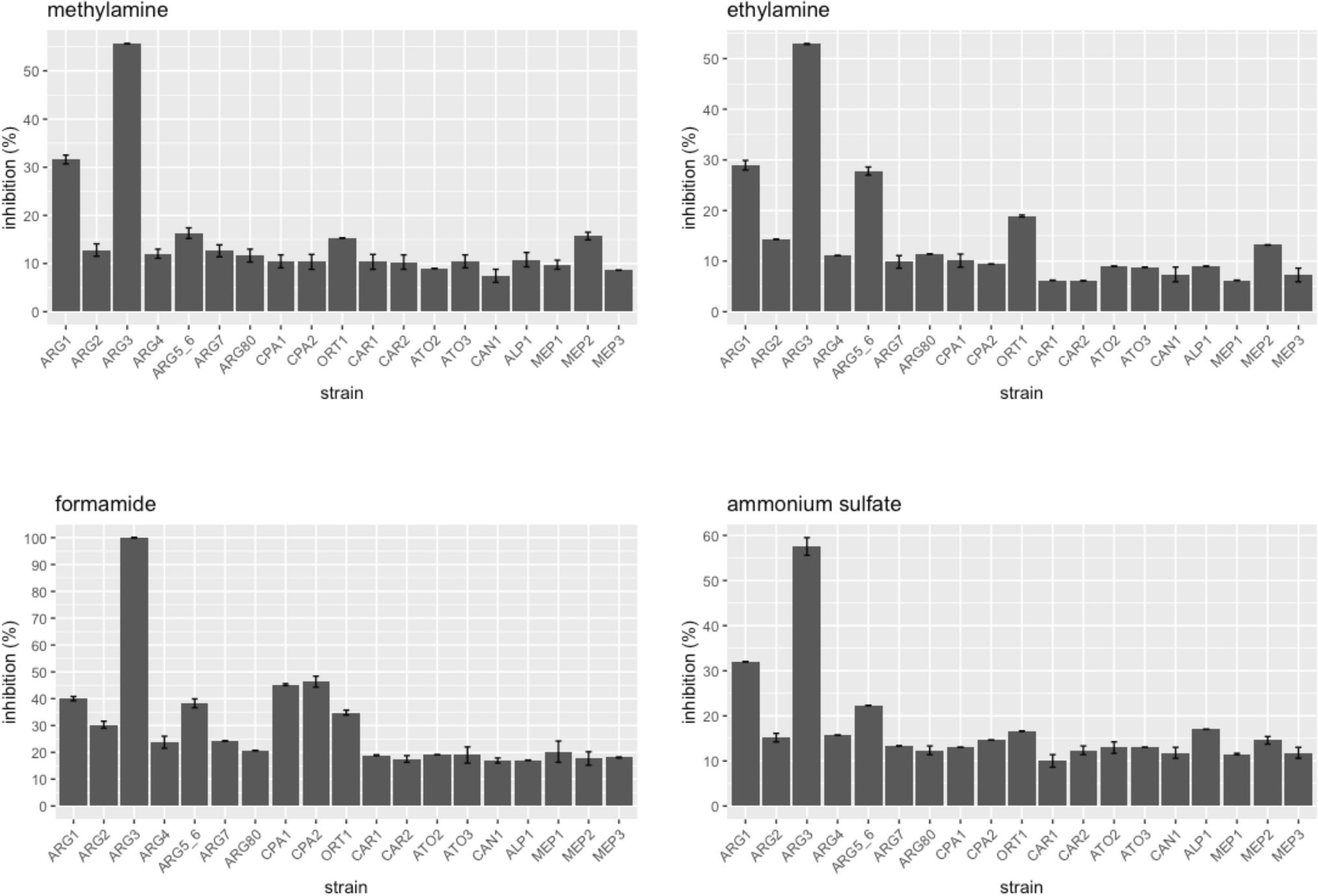
Figure 7

Percent inhibition of the intermediates against nineteen strains lacking arginine and ammonium metabolism genes. Strains lacking CPA1 and CPA2 were sensitive to formamide, but not to methylamine, ethylamine and ammonium sulfate. However, strains that are missing ARG1, ARG3 and ARG5,6 have increased sensitivity to the four compounds. Each bar represents the mean ± standard of inhibition (%).