Figure 2
From: Blood based hybrid nanofluid flow together with electromagnetic field and couple stresses

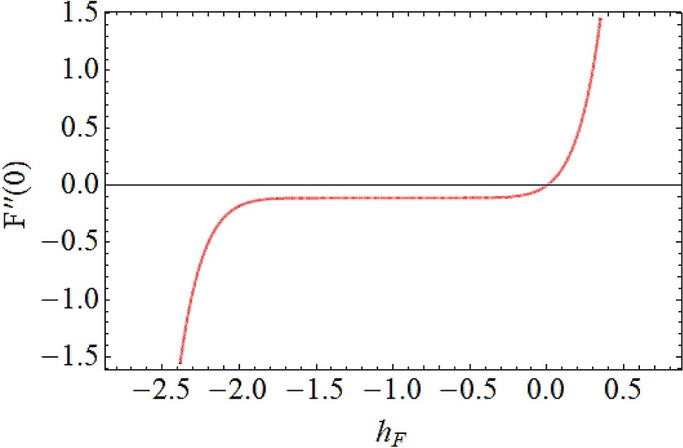
\(h\) curve for velocity field.
From: Blood based hybrid nanofluid flow together with electromagnetic field and couple stresses

\(h\) curve for velocity field.