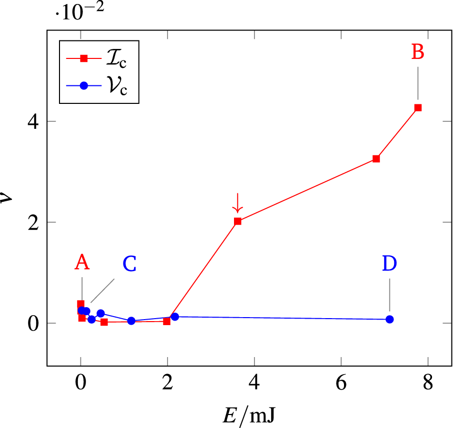
Figure 4

The symmetry index \(\nu\) of sample S calculated from ERT measurements for increasing E performed at \({\mathcal {I}}_{{\mathrm {c}}}\)
and \({\mathcal {V}}_{{\mathrm {c}}}\)
. Letters and arrow label the values of \(\nu\) corresponding to the maps shown and discussed in the text.