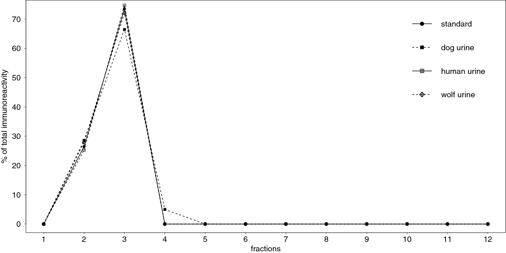
Figure 3

Percent of total immunoreactivity detected in each fraction in extracted oxytocin (OT) standard and extracted dog, wolf, and human urine.

Percent of total immunoreactivity detected in each fraction in extracted oxytocin (OT) standard and extracted dog, wolf, and human urine.