Figure 2

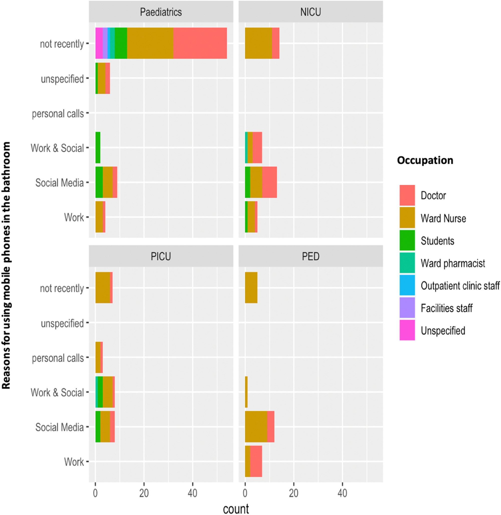
Mobile phone use in the bathroom and staff role across four different hospital wards (General Paediatrics, Neonatal Intensive Care Unit, Paediatric Intensive Care Unit, Paediatric Emergency Department).

Mobile phone use in the bathroom and staff role across four different hospital wards (General Paediatrics, Neonatal Intensive Care Unit, Paediatric Intensive Care Unit, Paediatric Emergency Department).