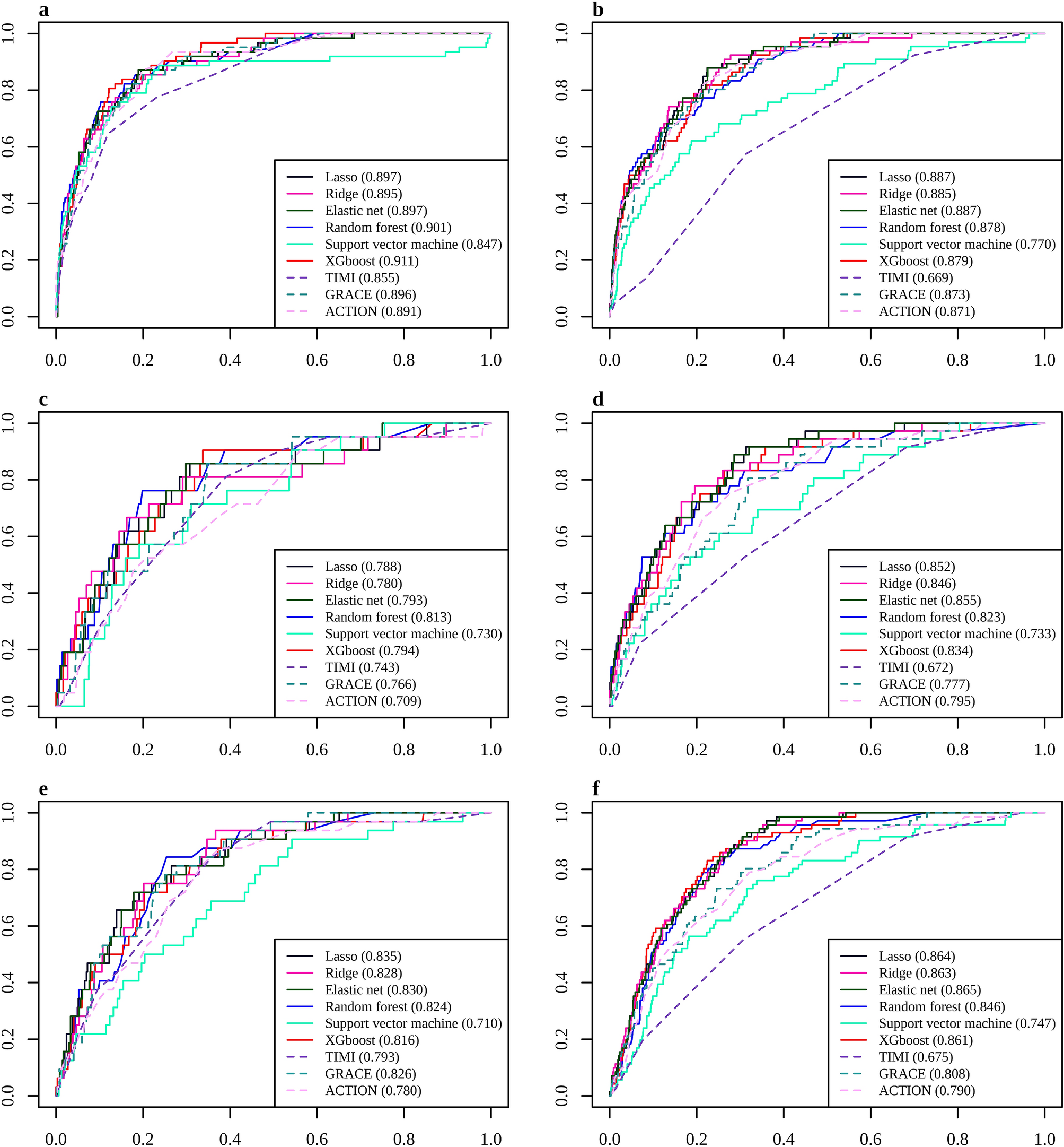
Figure 2

ROC curves of the in-hospital, three-month, and 12-month mortality prediction models in acute myocardial infarction with traditional and optional predictors. (a) In-hospital mortality in STEMI, (b) In-hospital mortality in NSTEMI, (c) 3-month mortality in STEMI, (d) 3-month mortality in NSTEMI, (e) 12-month mortality in STEMI, (f) 12-month mortality in NSTEMI.