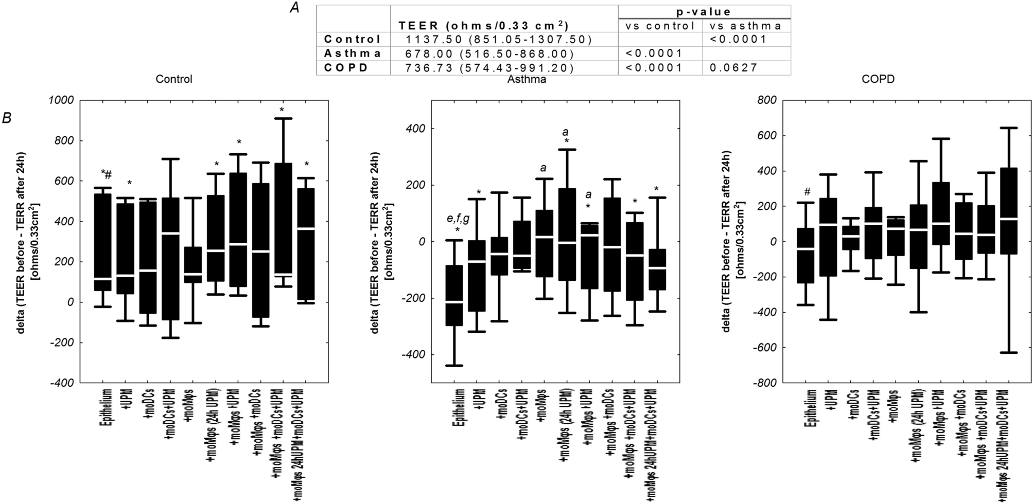
Figure 12

(A) The absolute TEER values of control, asthma, and COPD epithelial cells are shown in table. (B) The changes in trans epithelial electrical resistance (TEER) after 24 h of nasal epithelial cells from healthy donors, asthma and COPD cultured in air–liquid interface (ALI) conditions in multi co-culture models and UPM exposure. p value calculated using Mann–Whitney U test p value < 0.05 in comparisons * control versus asthma, # control versus COPD; a—epithelium, b—epithelium + UPM, c—epithelium + moDCs, d—epithelium + moDCs + UPM, e—epithelium + moMφs, f—epithelium + moMφs (24 h UPM), g- epithelium + moMφs + UPM, h—epithelium + moMφs + moDCs, i—epithelium + moMφs + moDCs + UPM, j—epithelium + moMφs (24hUMP) + moDCs + UPM.