Figure 2
From: Serum neurofilament light chain as a severity marker for spinocerebellar ataxia

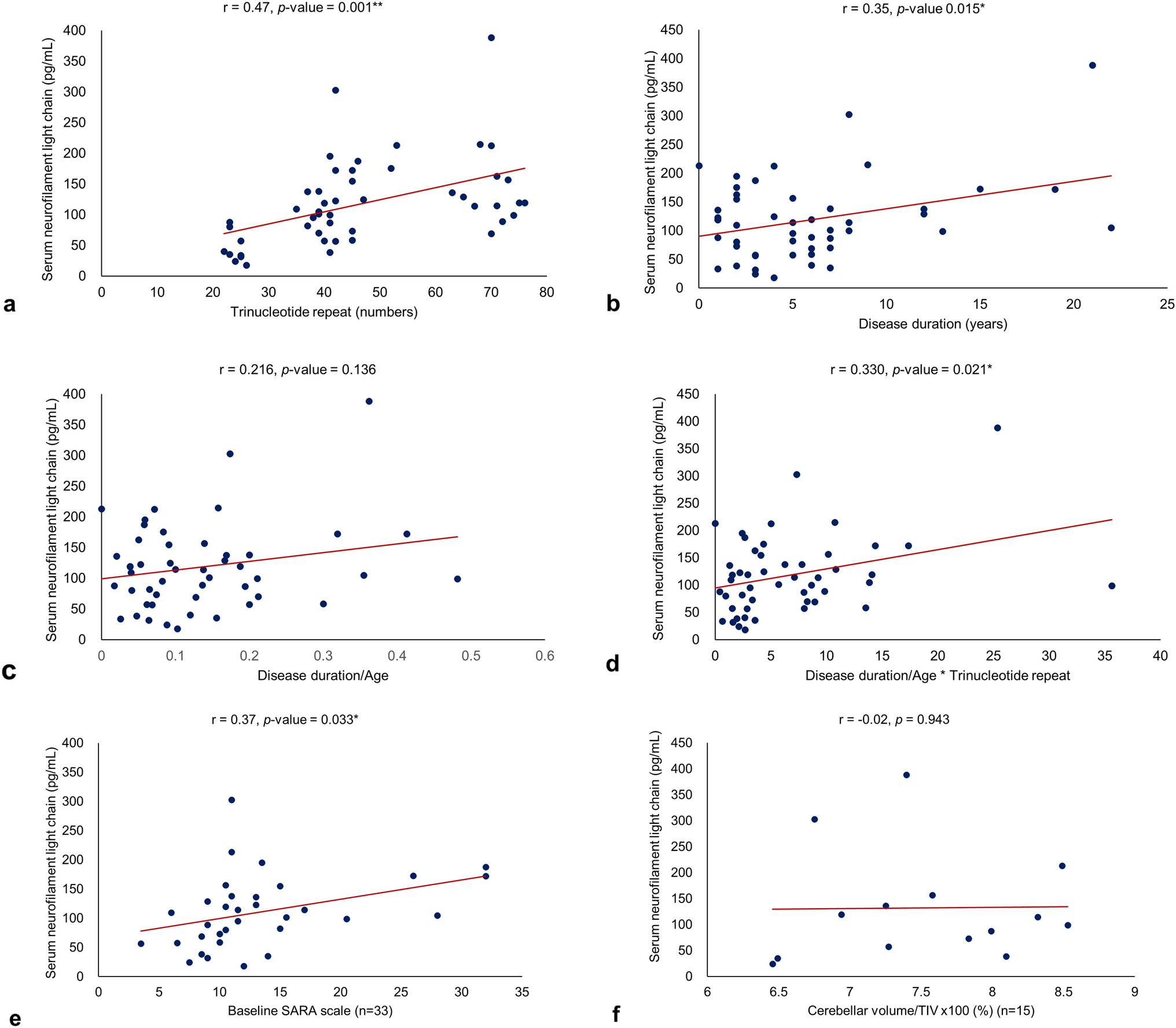
Correlation of serum neurofilament light chain with clinical severity of autosomal-dominant SCA. (a) The trinucleotide repeat number and serum neurofilament light chain showed a positive correlation (r = 0.47, p-value = 0.001). (b) Disease duration and the serum neurofilament light chain showed a positive correlation (r = 0.35, p-value = 0.015). (c) Disease duration and age were not significantly correlated (r = 0.22, p-value = 0.136). (d) The disease duration/age × trinucleotide repeat number showed a positive correlation with serum NfL (r = 0.33, p-value = 0.021). (e) The SARA score and serum neurofilament light chain were positively correlated (n = 33; r = 0.37, p-value = 0.033). (f) The percentage of cerebellar volume within TIV did not have a significant correlation with serum NfL (n = 14; r = 0.02, p-value = 0.957). ** is for p-value < 0.01, and * is for p-value < 0.05.