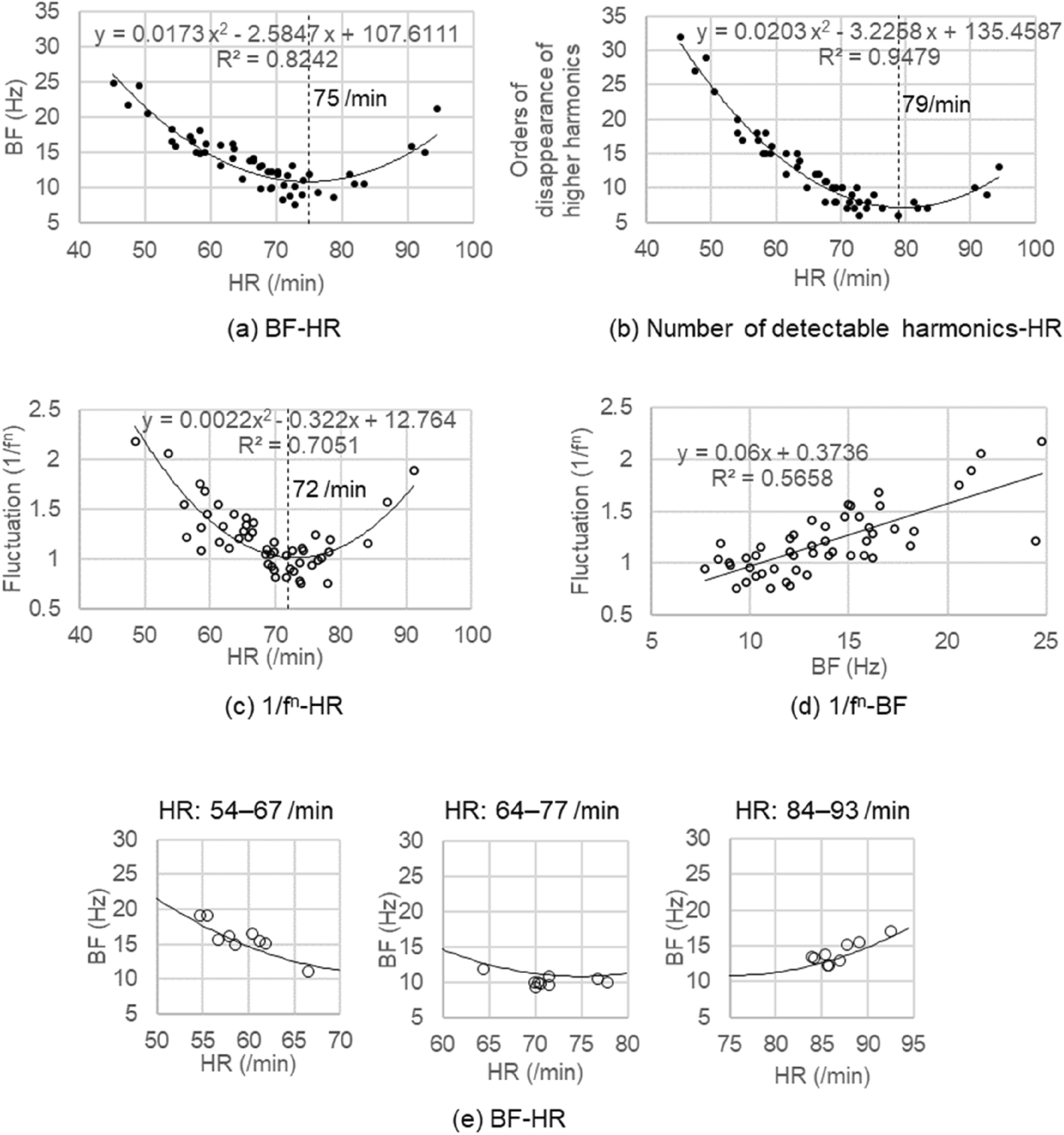
Figure 5

Correlation diagram of heart rates, BF, orders of disappearance of higher harmonic vibration, and 1/fn. (a) Correlation diagram of BF-HR, (b) number of detectable harmonics-HR and (c) 1/fn-HR were represented by a quadratic function.(d) 1/fn-BF was approximated by a linear function. The fluctuation became 1/f (|n|= 1) when BF was in the vicinity of 8 to 12 Hz and heart rate was around 72/min. On the other hand, the fluctuation was 1/f2 (|n|= 2) when BF was more than 20 Hz and heart rate was in the vicinity of either 50 or 90/min. (e) When variation of heart rates of the three subjects occurred under respiratory depression at rest, BF moved along the quadratic curve of the BF-HR correlation diagram shown in (a).