Figure 2
From: Analysis of the physical properties of spindle seeds for seed sorting operations

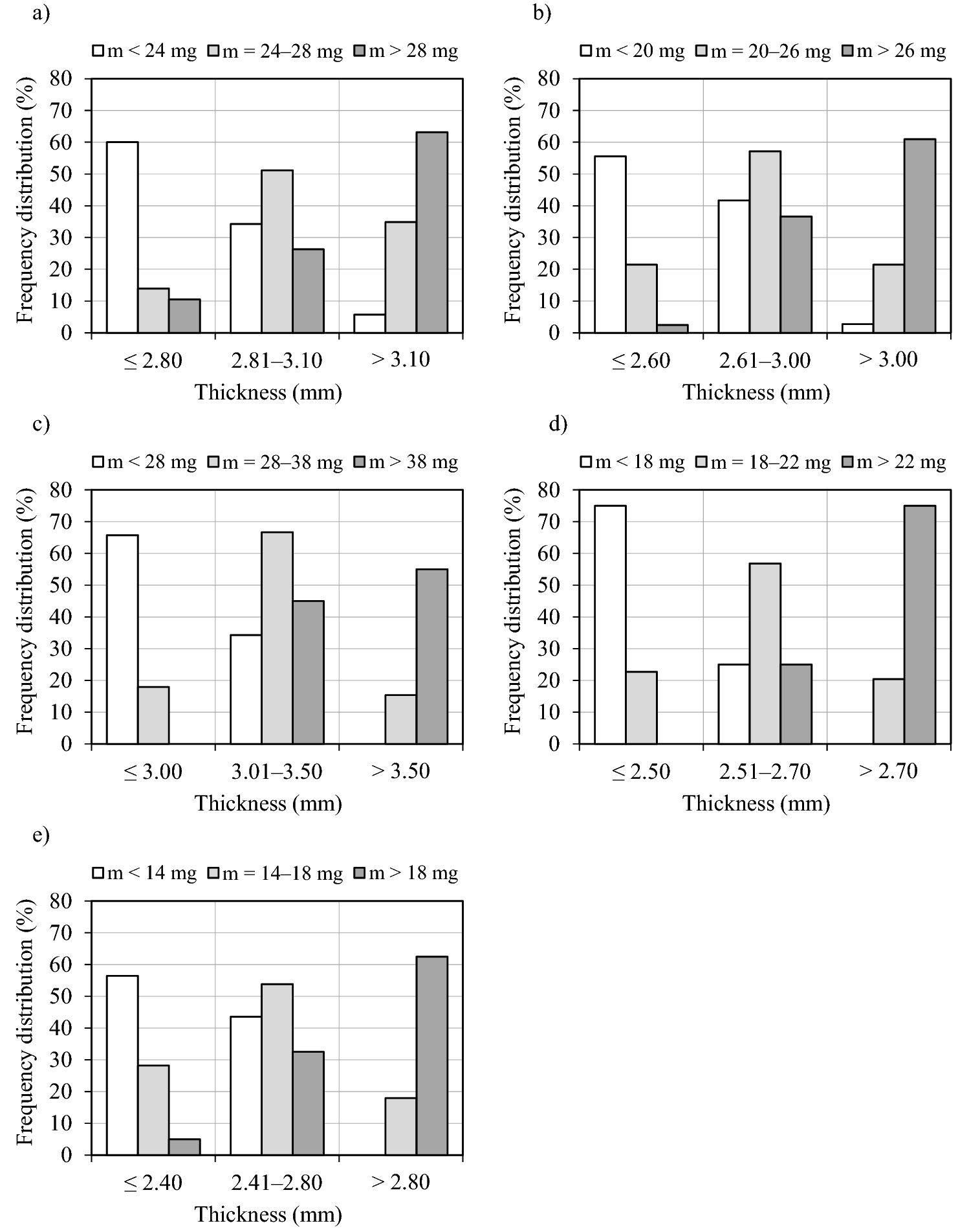
Distribution of seed thickness in spindle species: a) broadleaf, b) large-winged, c) European, d) Hamilton’s, e) winged.
From: Analysis of the physical properties of spindle seeds for seed sorting operations

Distribution of seed thickness in spindle species: a) broadleaf, b) large-winged, c) European, d) Hamilton’s, e) winged.