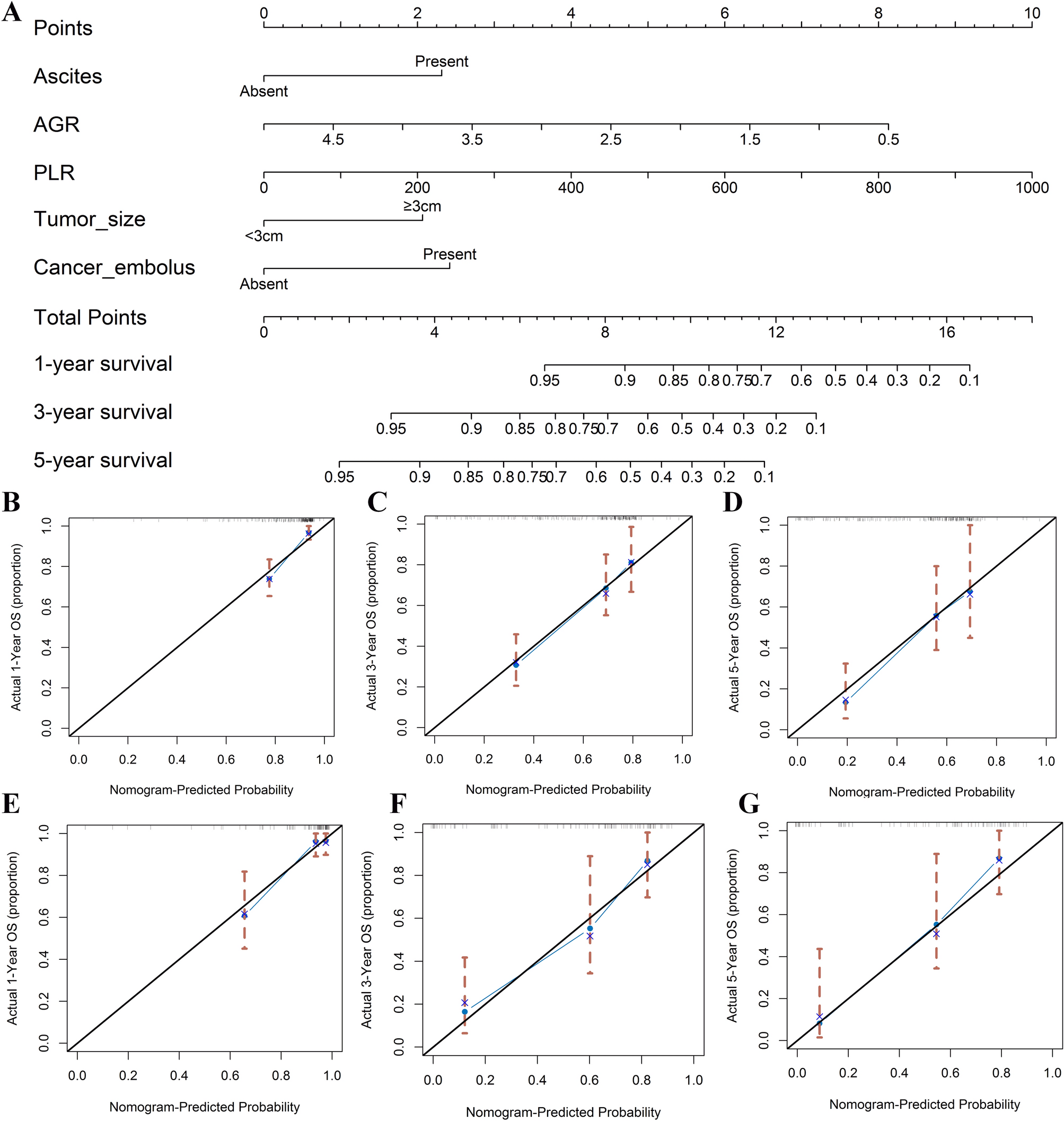
Figure 4

Nomogram for predicting 1-, 3-, and 5-year OS among HCC patients undergoing microwave ablation in the training cohort. The black line represents the “ideal” line of a perfect match between predicted and observed survival. The blue line indicates the performance of the proposed nomogram. The X-axis is nomogram predicted probability of survival and Y-axis is actual survival. Blue dots are sub-cohorts of the data set; red vertical bars represent 95% confidence interval (A). Calibration curves of the nomogram for predicting 1- (B), 3- (C), and 5-year survival (D) in the training cohort. Calibration curves of the nomogram for predicting 1-year (E), 3-year (F), and 5-year survival (G) in the validation cohort. The figure was performed using R software (version 3.3.1, Vienna, Austria, https://www.r-project.org/).