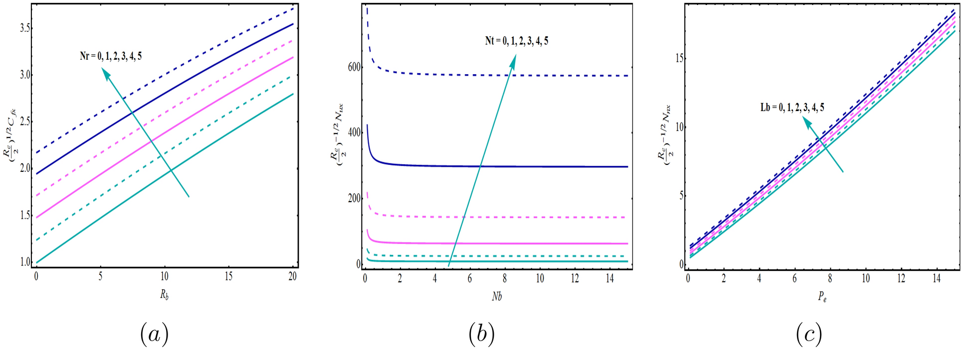
Figure 2

Variations for (a) SFC, (b) LNN, (c) LDMM with \(R_{b}\), Nb, \(P_{e}\) with various values of Nr, Nt and \(P_{e}\), respectively.

Variations for (a) SFC, (b) LNN, (c) LDMM with \(R_{b}\), Nb, \(P_{e}\) with various values of Nr, Nt and \(P_{e}\), respectively.