Figure 3
From: Tunable multichannel Photonic spin Hall effect in metal-dielectric-metal waveguide

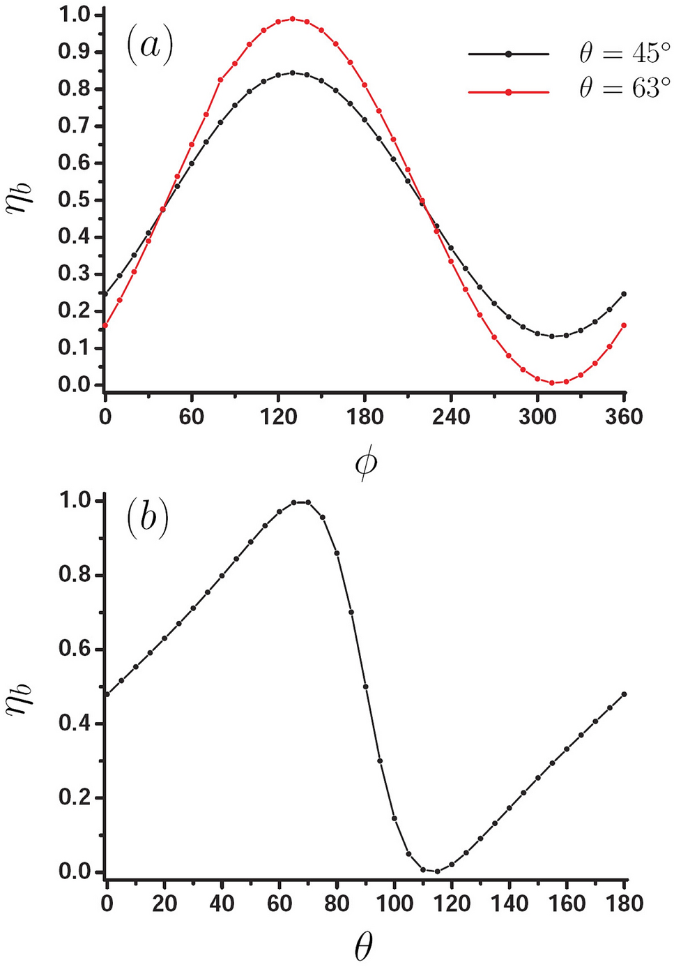
Effect of \(\phi\) and \(\theta\) on PSHE for the waveguide with \(W=1.2 \, \upmu {\text{m}}\) and \(L=6 \, \upmu {\text{m}}\), the dipole source is located at \(x=0\), and \(z_0 =-0.1 \, \upmu {\text{m}}\). (a) Separation degree \(\eta _{b}\) as a function of \(\phi\) for the two different \(\theta\), black curve for \(\theta =45^{\circ }\) and red curve for \(\theta =63^{\circ }\). (b) Separation degree \(\eta _{b}\) as a function of \(\theta\) when \(\phi =130^{\circ }\).