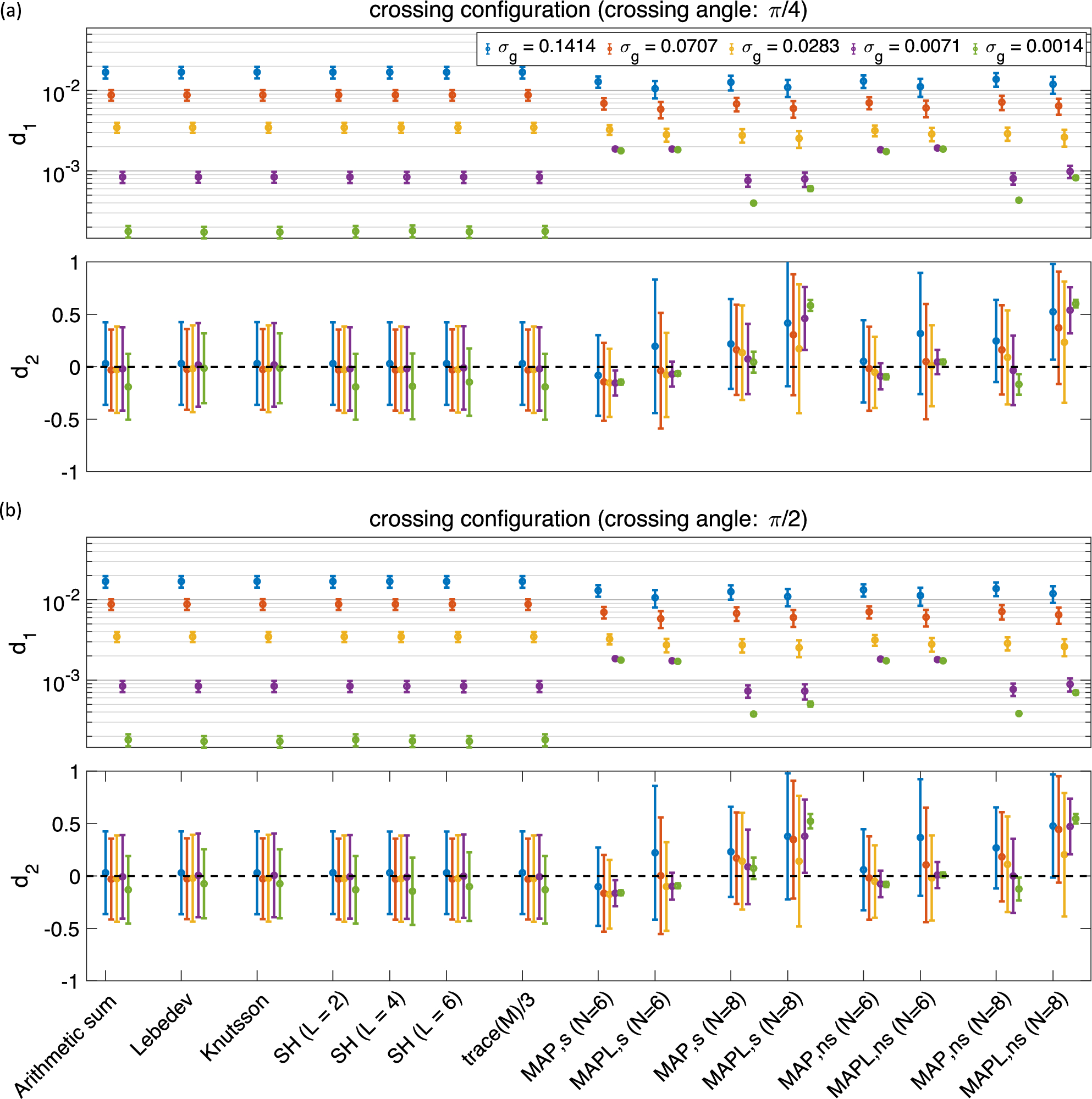
Figure 4

The mean and std of the \(d_1\) and \(d_2\) measures using different methods for 344 samples in the presence of crossing configuration with (a) \(\pi /4\) and (b) \(\pi /2\) radians crossing angle (the y-axis in \(d_1\) is scaled logarithmically). The ‘s’ and ‘ns’ correspond to the shelled and non-shelled point sets, respectively. Different colors (blue, red, yellow, purple, green) show the results in different noise levels (\(\sigma _g = 0.1414, \,0.0707, \,0.0283, \,0.0071,\, 0.0014\)).