Figure 4
From: Lipid metabolism of sea urchin Paracentrotus lividus in two contrasting natural habitats

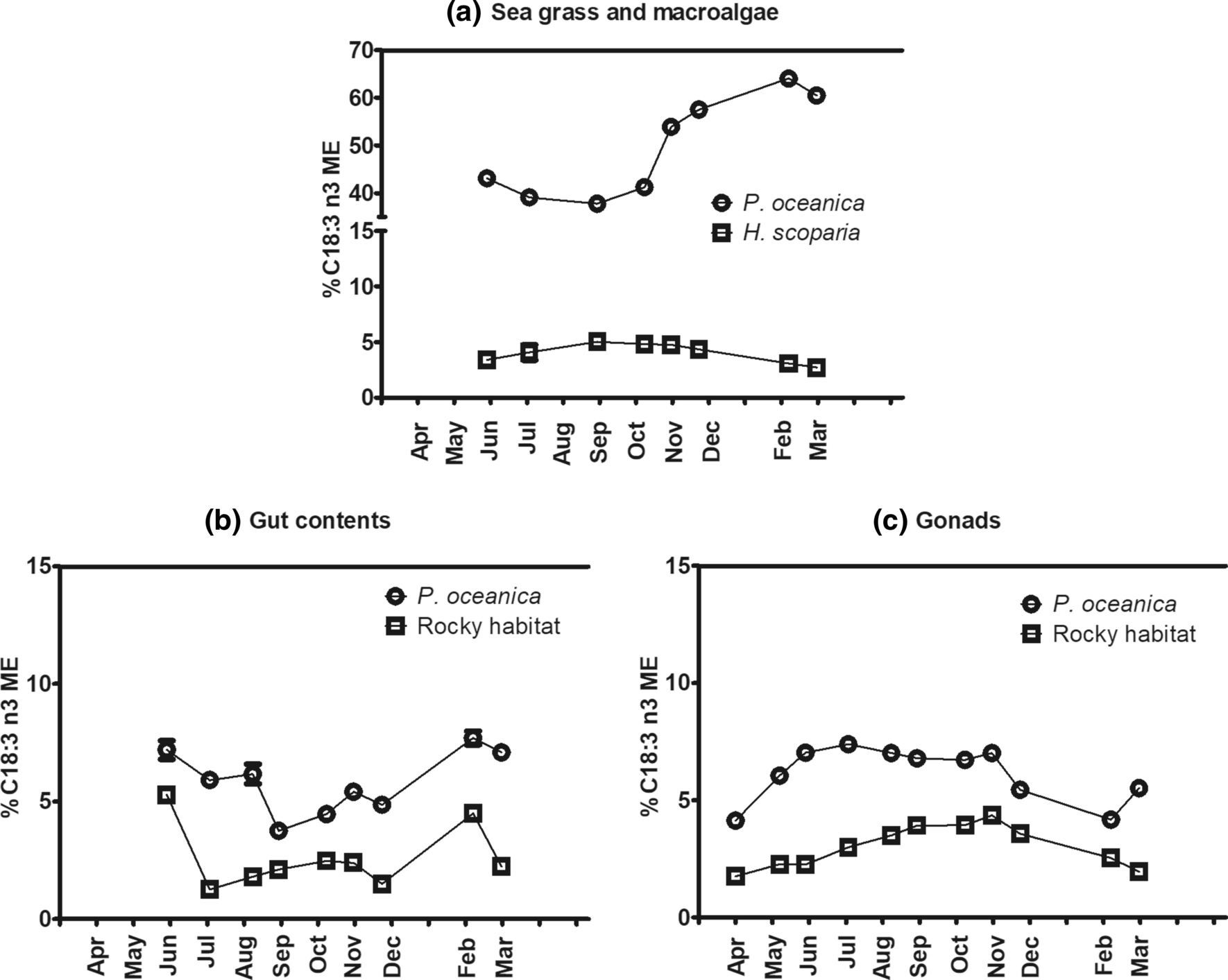
Seasonal variation of C 18:3 (n-3) in P. oceanica and H. scoparia (a), gut contents (b) and gonads (c) of P. lividus collected from P. oceanica meadow and rocky bottom. Each point corresponds to the analysis of a pooled sample, as detailed in “Materials and methods” section.