Figure 5
From: Lipid metabolism of sea urchin Paracentrotus lividus in two contrasting natural habitats

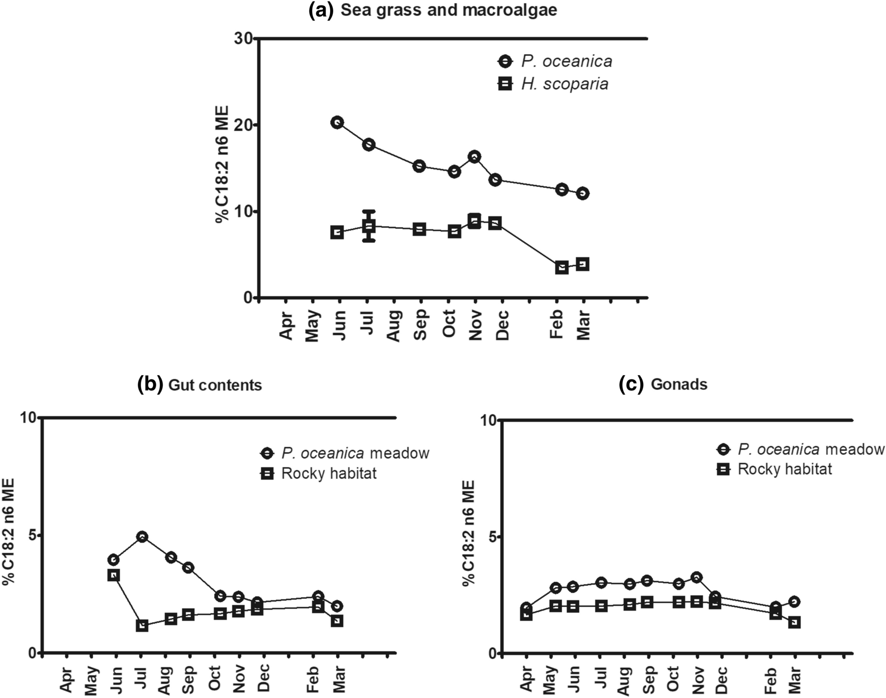
Seasonal effect on C 18:2 (n-6) contents in sea grass and macroalgae (a), gut contents (b) and gonads (c) of P. lividus from the two sites (P. oceanica meadow and rocky bottom). Each point corresponds to the analysis of a pooled sample, as detailed in “Materials and methods” section.