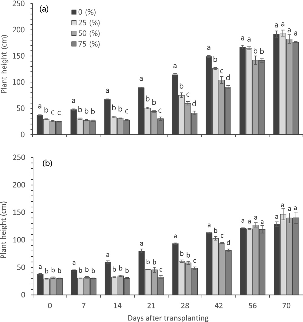
Figure 5

Effect of different leaf heat damage levels on plants growth rate in hot pepper cultivars susceptible (a, ‘Chyung Yang’) and tolerant (b, ‘NW Bigarim’) to heat stress. Vertical bars represent standard deviation (n = 3). Different letters indicate significant differences by Duncan’s multiple range test at p < 0.05.