Figure 3
From: Climate and sea surface trends in the Galapagos Islands

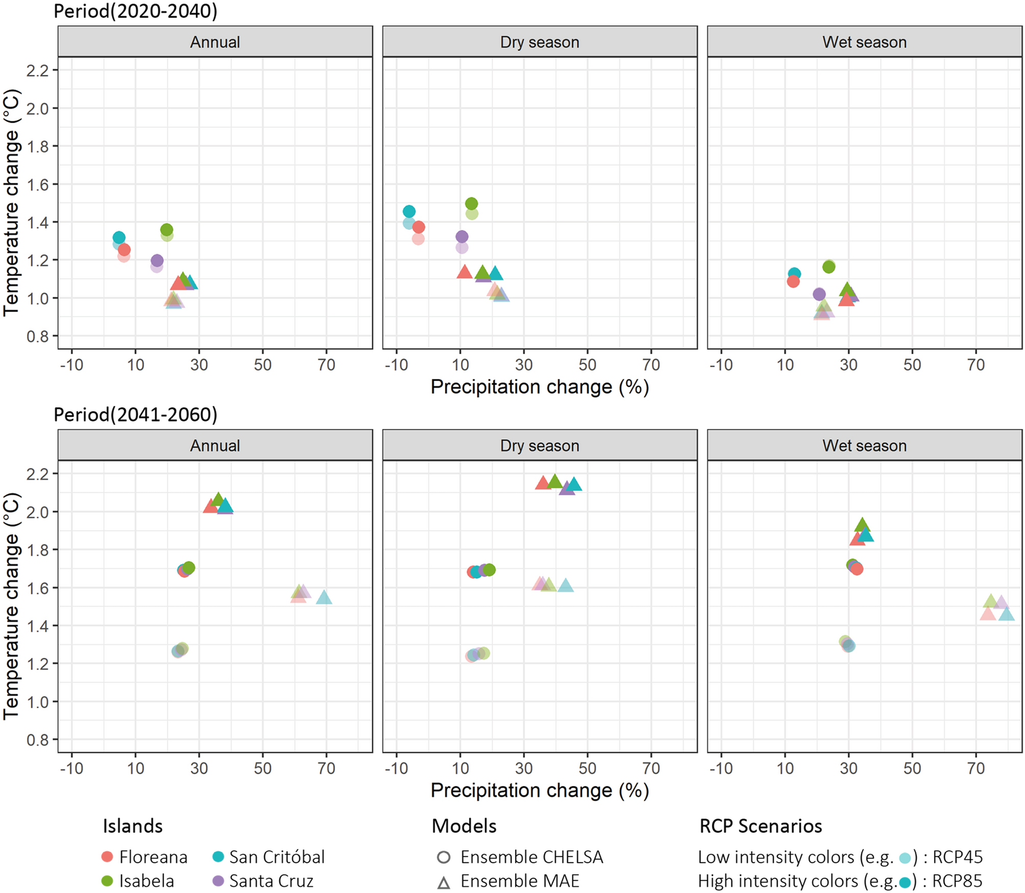
Summary of climate projections for projected average temperature and precipitation changes relative to the historic baseline as simulated by the MAE and CHELSA modelling efforts. Temperature on the y-axis represents absolute change in temperature. The x-axis represents percentual changes in precipitation. Circles represent outputs from the CHELSA modelling projections used here, and triangles represent those from the MAE experiments. The saturation of colors determines the RCP climate scenario; low color intensities represent RCP4.5, while high color intensities represent RCP8.5