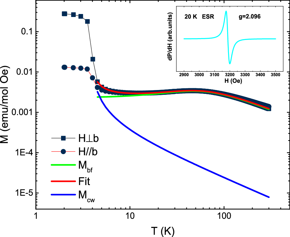
Figure 2

Temperature dependence of the static magnetic susceptibility χ = M/H measured at 200 Oe for H parallel and vertical to b axis above 4 K. Static magnetic susceptibility χ = M/H of MACuF, at B = 200 Oe. The red line represents the fit by Eq. (2). The green line is contribution of χchain. The blue line is Curie–Weiss paramagnetic susceptibility. The inset shows the ESR spectra at 20 K.