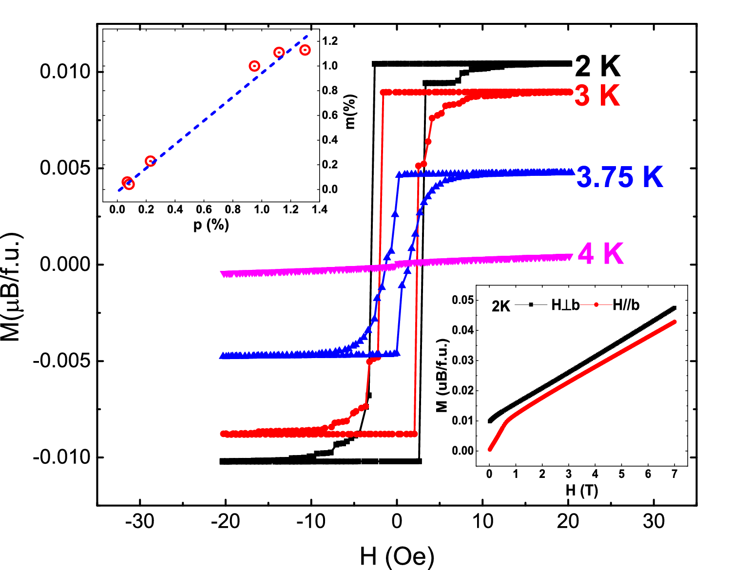
Figure 3

Magnetization (M) versus applied field (H) at four different temperatures for H⊥b. Top inset: paramagnetic term ratio (p) of six different samples obtained by fitting Eq. (2) versus the ratio of the ferromagnetic saturation magnetic moment to that of Cu2+(m = \({M}_{S}\)/\({M}_{{Cu}^{2+}}\)). The dotted line represents the linear fitting to the data. Bottom inset: M–H curve at 2 K for H⊥b and H//b directions.