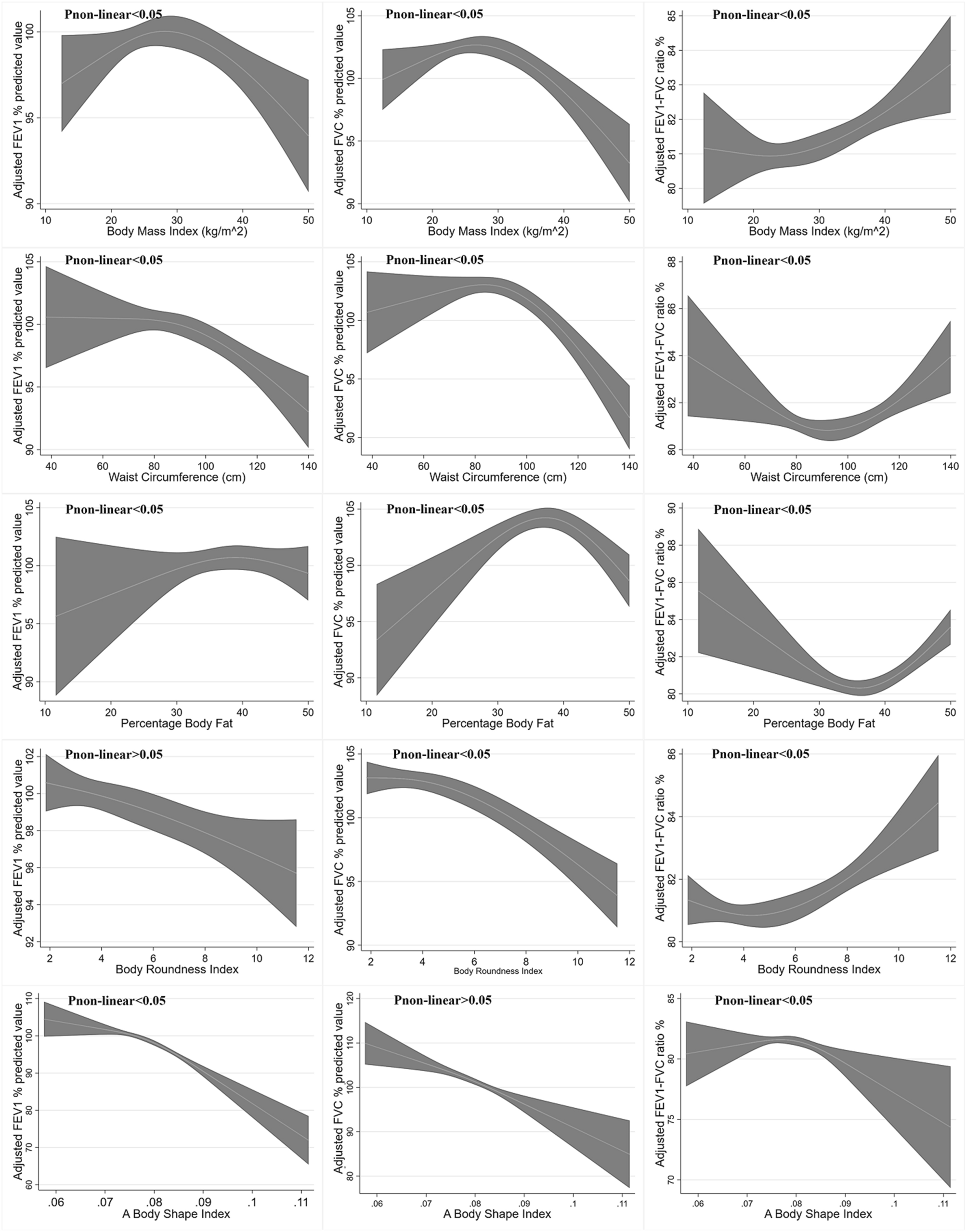
Figure 2
From: Non-linear association of anthropometric measurements and pulmonary function

Reverse U-shaped association between BMI, WC, PBF, BRI, ABSI and pulmonary function in female. Data were weighted estimates. The shadow area represents a 95% confidence interval. Pinon-linear was estimated by a two-line piecewise linear model. The model was adjusted for age, race, education, smoking, physical activity.