Figure 4
From: Fine-scale structures as spots of increased fish concentration in the open ocean

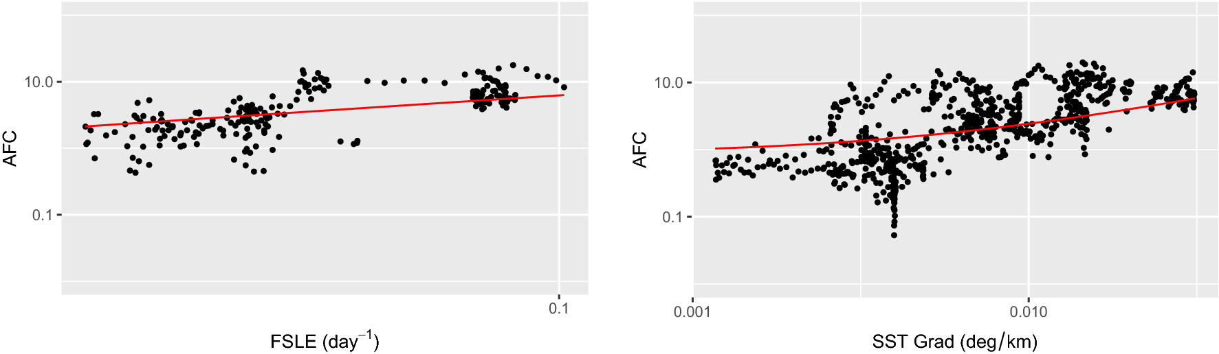
Left panel: scatter plot of AFC against FSLE (left panel) for the sub-set of points whose local chlorophyll concentration is higher than 0.22 mg/m\(^3\). Right panel: scatter plot of AFC against SST gradient (right panel) for the sub-set of points whose local chlorophyll concentration is higher than 0.17 mg/m\(^3\). For both panels, the red line is obtained from the respective linear interpolation of the selected points (note that axes are reported in logarithmic scale). Left panel: R = 0.66, R\(^2\) = 0.43, p < 0.001. Right panel: R = 0.54, R\(^2\) = 0.29, p < 0.001. Sensitivity of the results with respect to the chlorophyll threshold chosen is reported in SI.1.