Figure 6
From: First experimental evidence of the piezoelectric nature of struvite

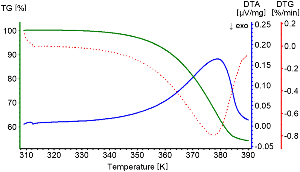
TG, DTA, and DTG (derivative thermogravimetric) curves of struvite heated with a heating rate of 0.4 K/min in an open crucible.
From: First experimental evidence of the piezoelectric nature of struvite

TG, DTA, and DTG (derivative thermogravimetric) curves of struvite heated with a heating rate of 0.4 K/min in an open crucible.