Figure 2
From: Gyrotactic micro-organism flow of Maxwell nanofluid between two parallel plates

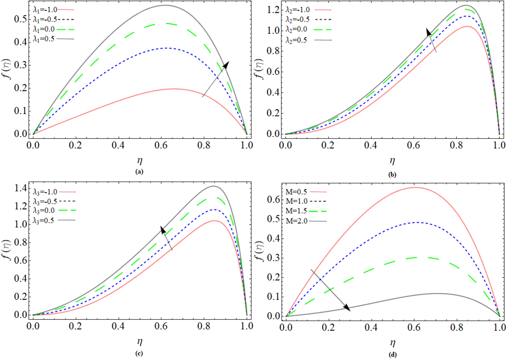
Buoyancy convection term due to temperature \(\lambda_{1}\), concentration \(\lambda_{2}\) and microorganism \(\lambda_{3}\) and magnetic parameter M effect on velocity profile \(f\left( \eta \right)\).