Figure 3
From: Gyrotactic micro-organism flow of Maxwell nanofluid between two parallel plates

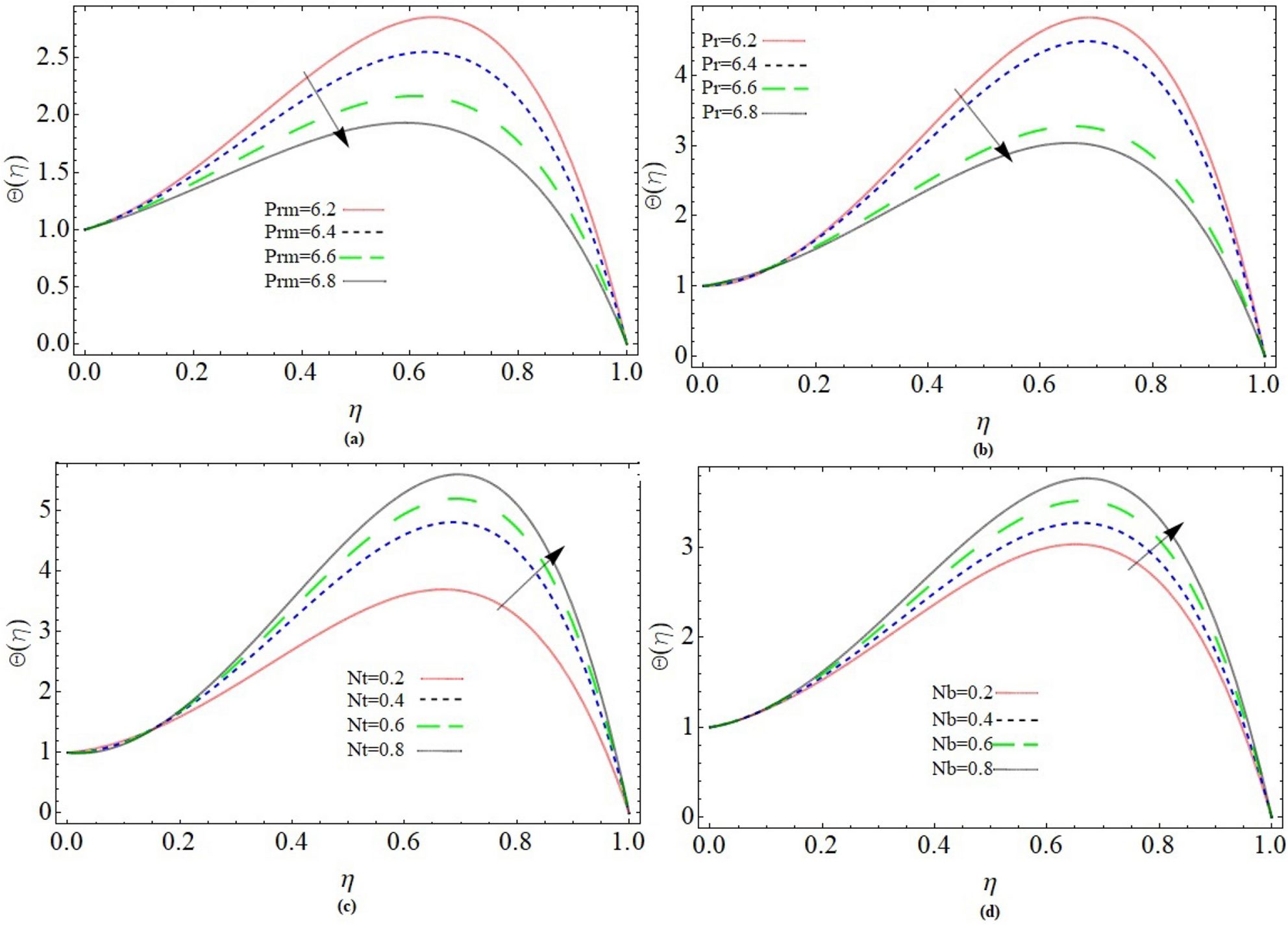
Parameter Prm, Pr, Nb and Nt effect on temperature profile \(\Theta \left( \eta \right)\).
From: Gyrotactic micro-organism flow of Maxwell nanofluid between two parallel plates

Parameter Prm, Pr, Nb and Nt effect on temperature profile \(\Theta \left( \eta \right)\).