Figure 6
From: Gyrotactic micro-organism flow of Maxwell nanofluid between two parallel plates

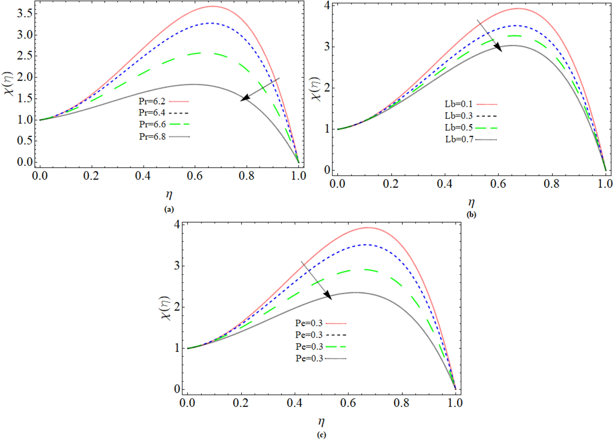
Prandtl number Pr, Bioconvection Lewis number Lb and Peclet number Pe effect on gyrotactic microorganism profiles \(\chi \left( \eta \right)\).
From: Gyrotactic micro-organism flow of Maxwell nanofluid between two parallel plates

Prandtl number Pr, Bioconvection Lewis number Lb and Peclet number Pe effect on gyrotactic microorganism profiles \(\chi \left( \eta \right)\).