Figure 10
From: Negative potential energy content analysis in cracked rotors whirl response

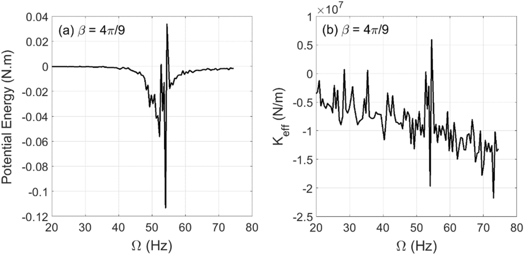
Experimental results in steady-state response of potential energy content in (a) and the corresponding effective stiffness content in (b) for varying shaft rotational speeds at \(\mu = 0.2\) and \(\alpha = 25{\text{ rad/s}}^{2}\) of the horizontal cracked rotor system.