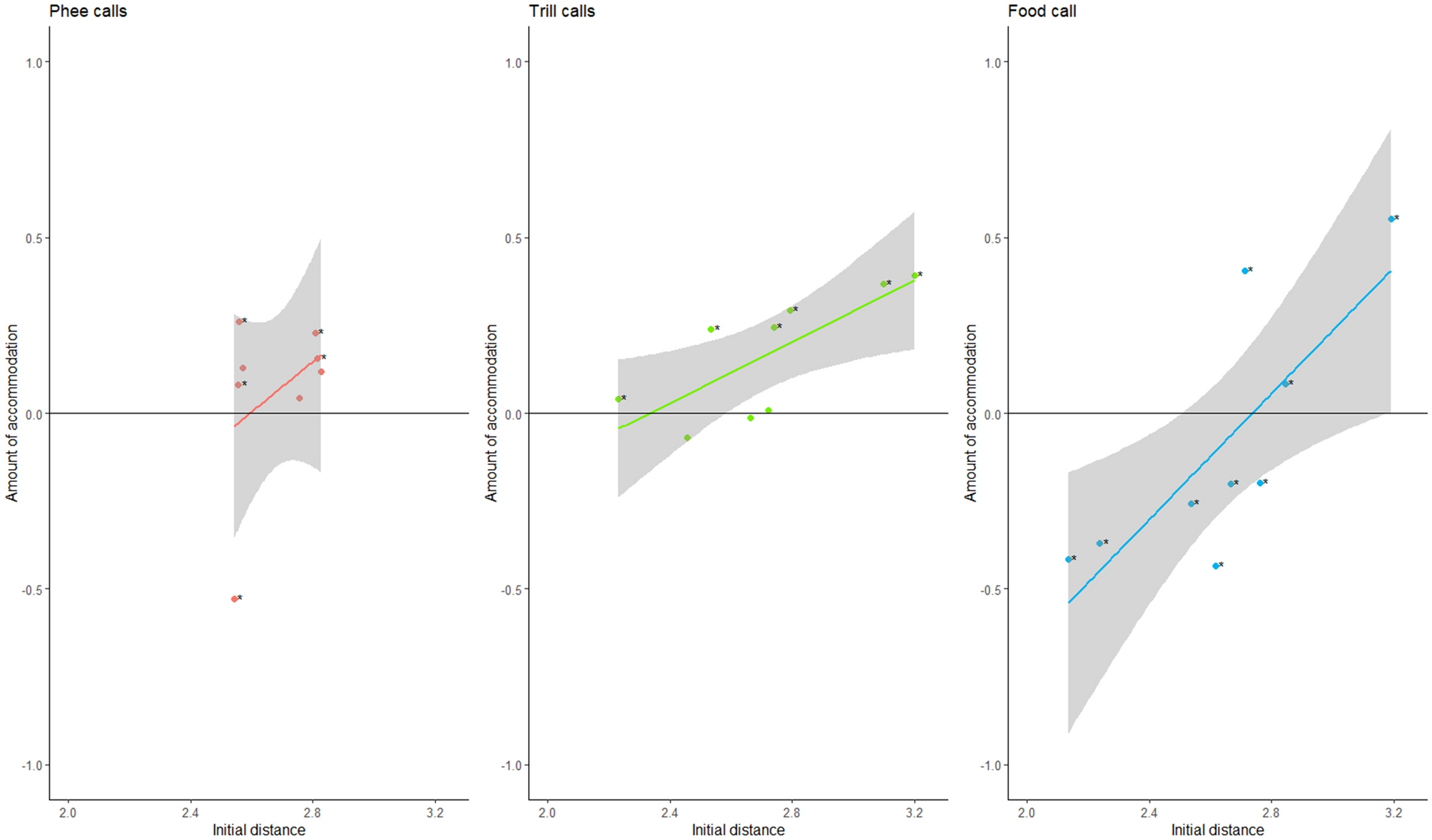
Figure 2

Relationship between the amount of accommodation and the initial vocal distance of each pair for phee-, trill-, and food calls. Significant changes in vocal distances are indicated with an *. Positive accommodation indicates convergence, i.e. that the pair became more similar, negative accommodation indicates divergence. For both trill calls and food calls, the amount of accommodation was predicted by the initial distance.