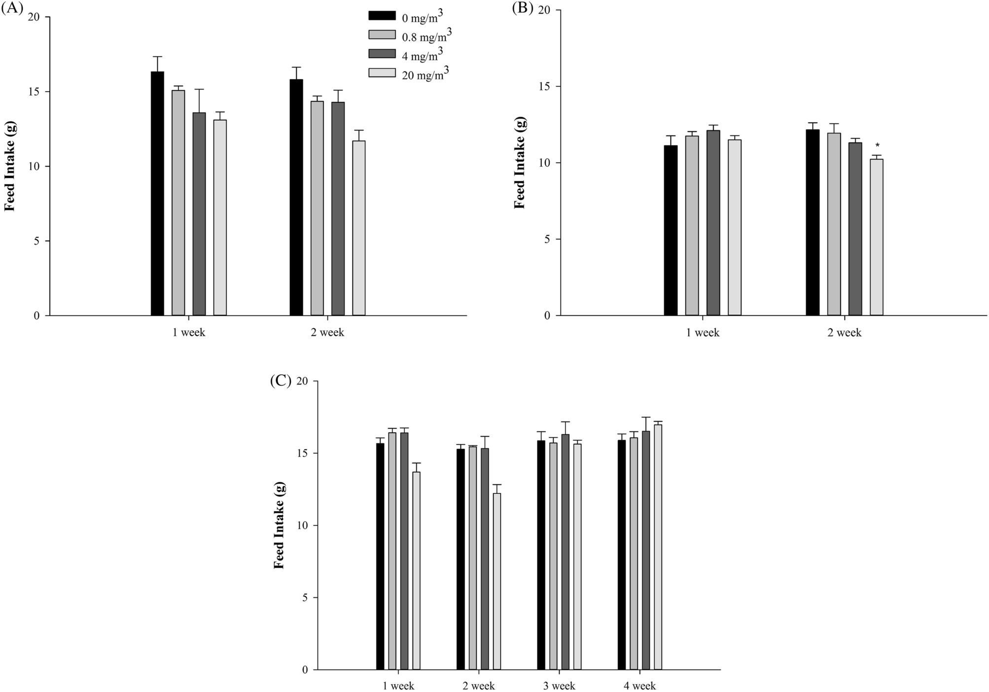
Figure 3

Changes of feed intake in the rats exposed to NaDCC. Males (A) and Females (B) in the main groups, Males (C) in the recovery groups. Significantly different from control by Dunnett LSD test: *p < 0.05.

Changes of feed intake in the rats exposed to NaDCC. Males (A) and Females (B) in the main groups, Males (C) in the recovery groups. Significantly different from control by Dunnett LSD test: *p < 0.05.