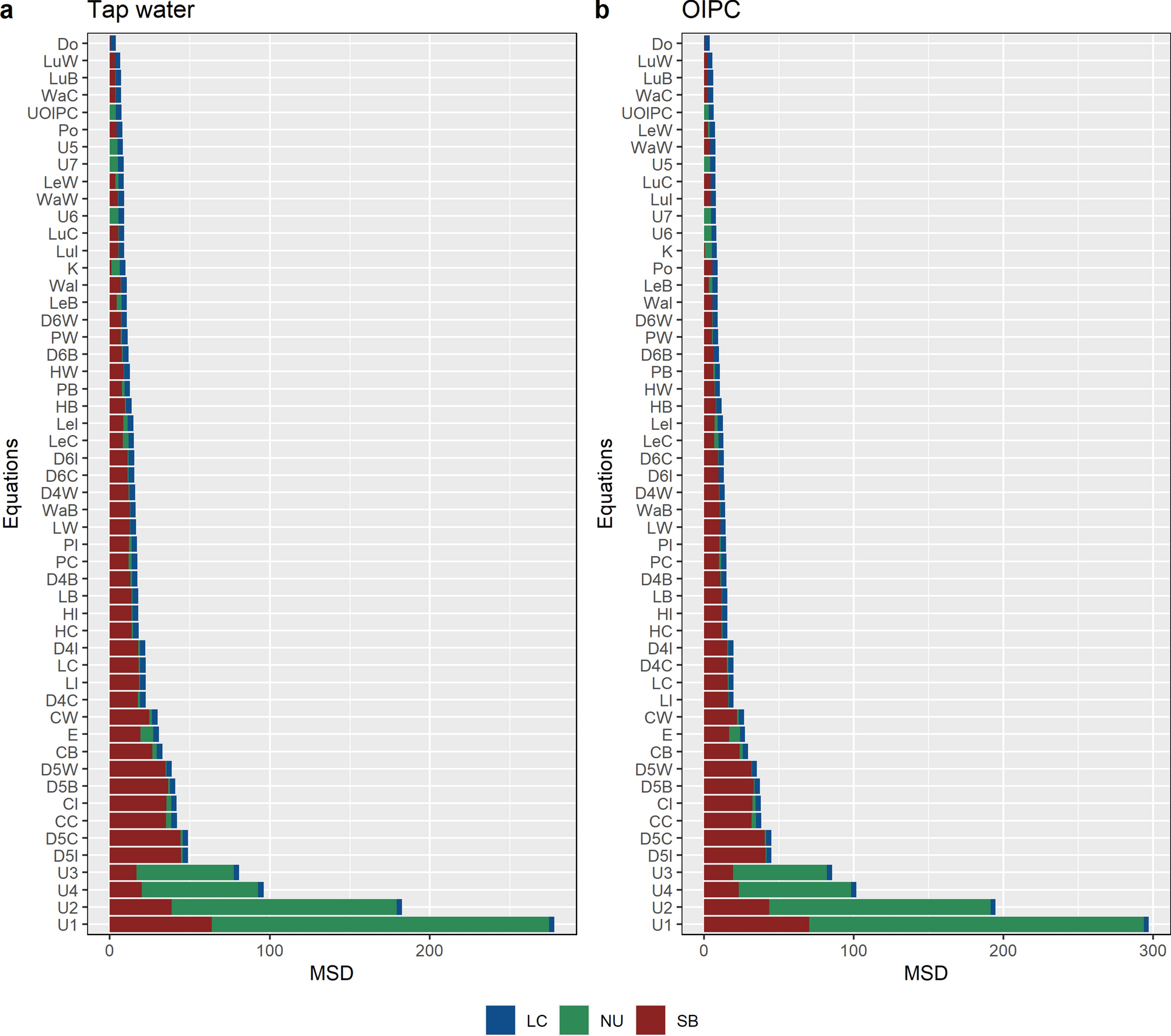
Figure 13

A direct comparison of the mean standard deviation (MSD) between predicted and observed δ18Odw values for (a) tap water and (b) OIPC. δ18Odw values were predicted from δ18Oc values of all samples (n = 75) from the current study with existing predictive models or a combination of models. MSD components are lack of correlation (LC), non-unity slope (NU) and squared bias (SB). Low MSD indicates greater similarity between modelled and measured values.