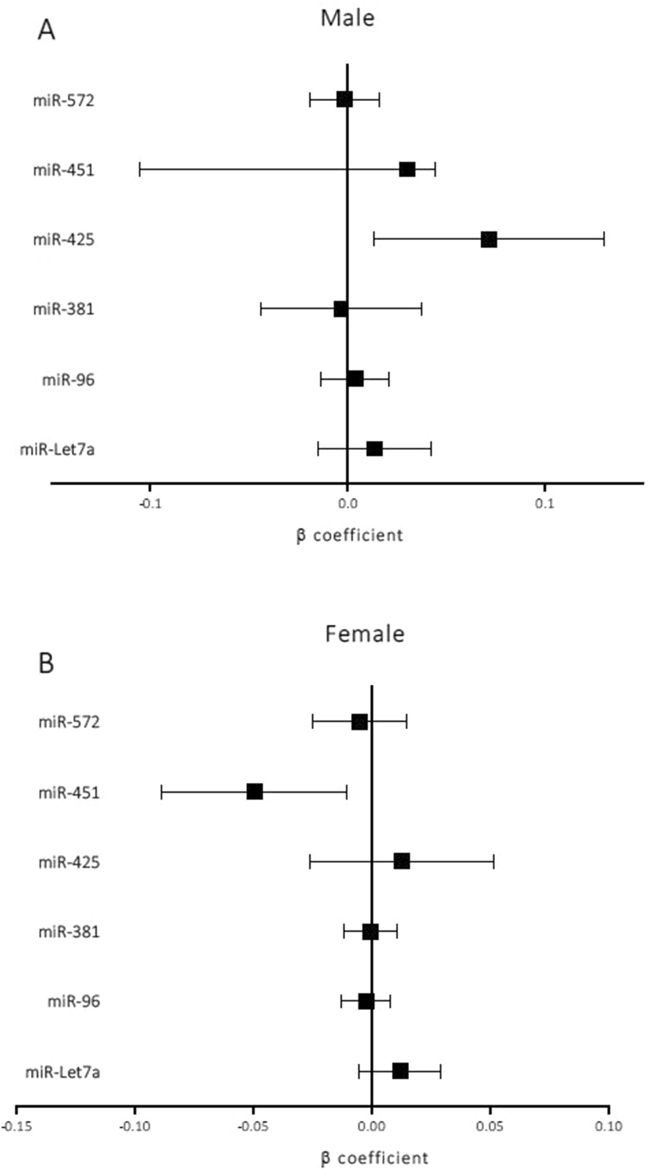
Figure 1

Adjusted β linear regression estimates with 95% confidence intervals of the effect on cIMT of a ΔCt increase (decreased expression) of the different miRs applied to men and women separately. The models are adjusted for RA disease onset, body mass index, age, ischaemic heart disease, ictus, peripheral artery disease, creatinine, hypertension, dyslipidaemia, type 2 diabetes mellitus, disease-modifying antirheumatic drugs, biological agents, corticosteroids, and non-steroidal anti-inflammatory drugs.