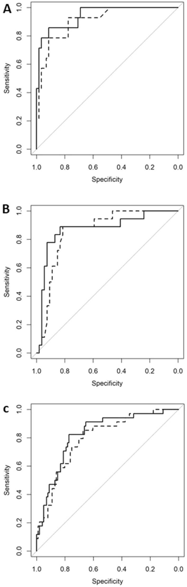
Figure 2

ROC curves for the multivariable logistic regression models with or without candidate miRs expression. (A) Estimation of prior CVD in men. (B) Estimation of pathological cIMT in men. (C) Estimation of pathological cIMT in women. Models were assessed by logistic regression analysis and were initially adjusted for age, RA disease onset, BMI, ischemic heart disease, peripheral artery disease, ictus, creatinine, and treatments. Solid line = baseline models. Dotted line = baseline model + candidate miRs.