Figure 4

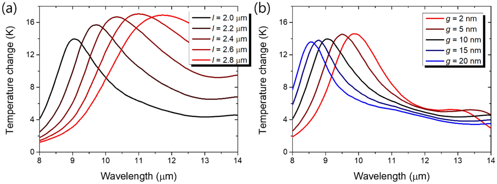
Temperature changes of the VO2 gap under the 5 nW/μm2 LWIR irradiation (a) for various rod lengths l from 2.0 to 2.8 μm and (b) for various gap widths g from 2 to 20 nm. Other parameters are the same as in Fig. 1.

Temperature changes of the VO2 gap under the 5 nW/μm2 LWIR irradiation (a) for various rod lengths l from 2.0 to 2.8 μm and (b) for various gap widths g from 2 to 20 nm. Other parameters are the same as in Fig. 1.