Figure 1
From: An inter-day assessment of the ABC parameters in the evaluation of progressive keratoconus

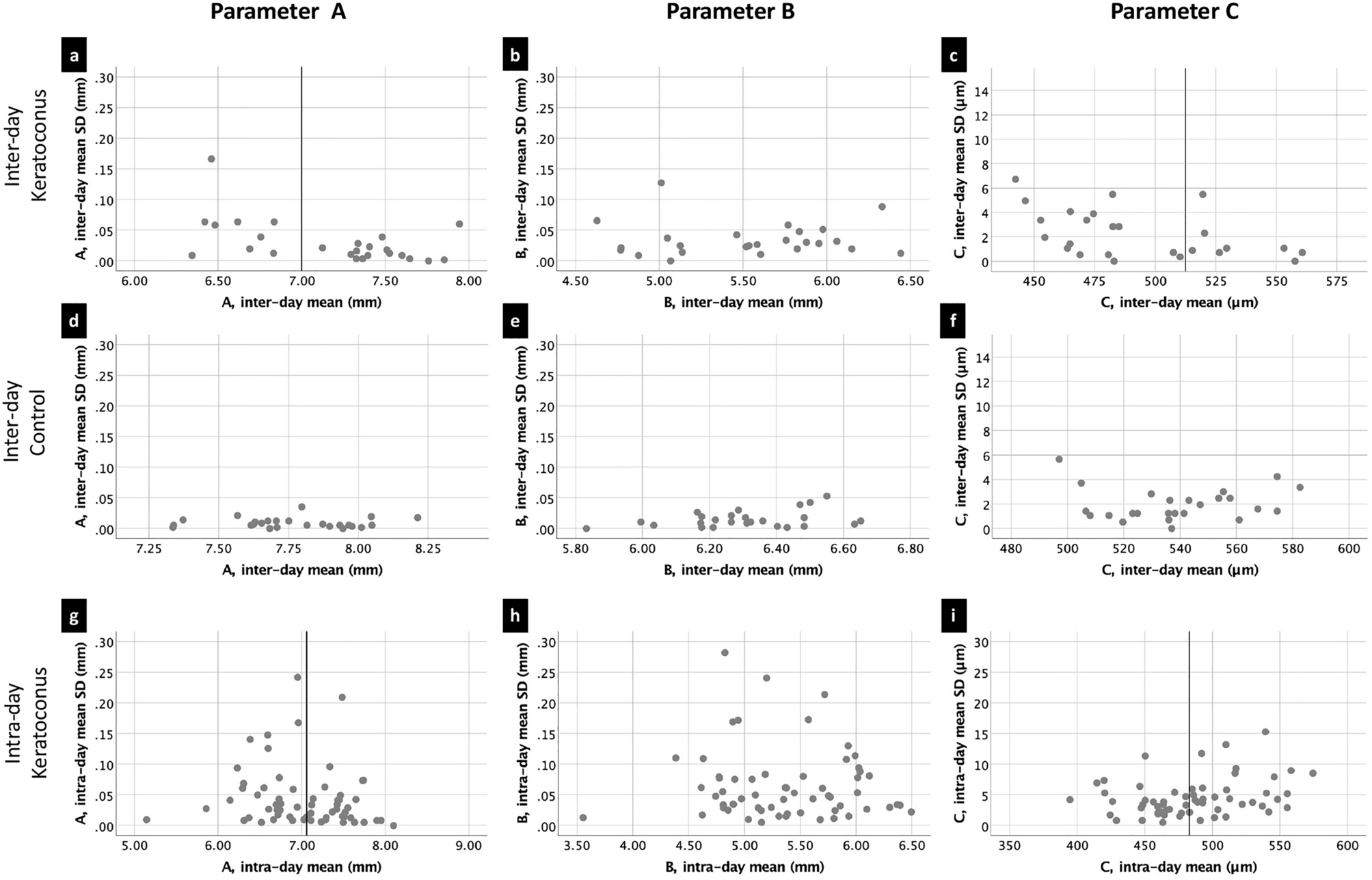
Mean values of inter-day and intra-day measurements of the parameters A, B and C, plotted against the standard deviation. (a) Inter-day measurements of parameter A in subjects with keratoconus, (d) inter-day measurements of A in control patients, (b) inter-day measurements of B in subjects with keratoconus, (e) inter-day measurements of B in the control group, (c) inter-day measurements of C in subjects with keratoconus and (f) inter-day measurements of C in the control group. Lower values of parameters A and B indicate more severe keratoconus, while lower values of C indicate less severe disease. The vertical lines indicate the median.