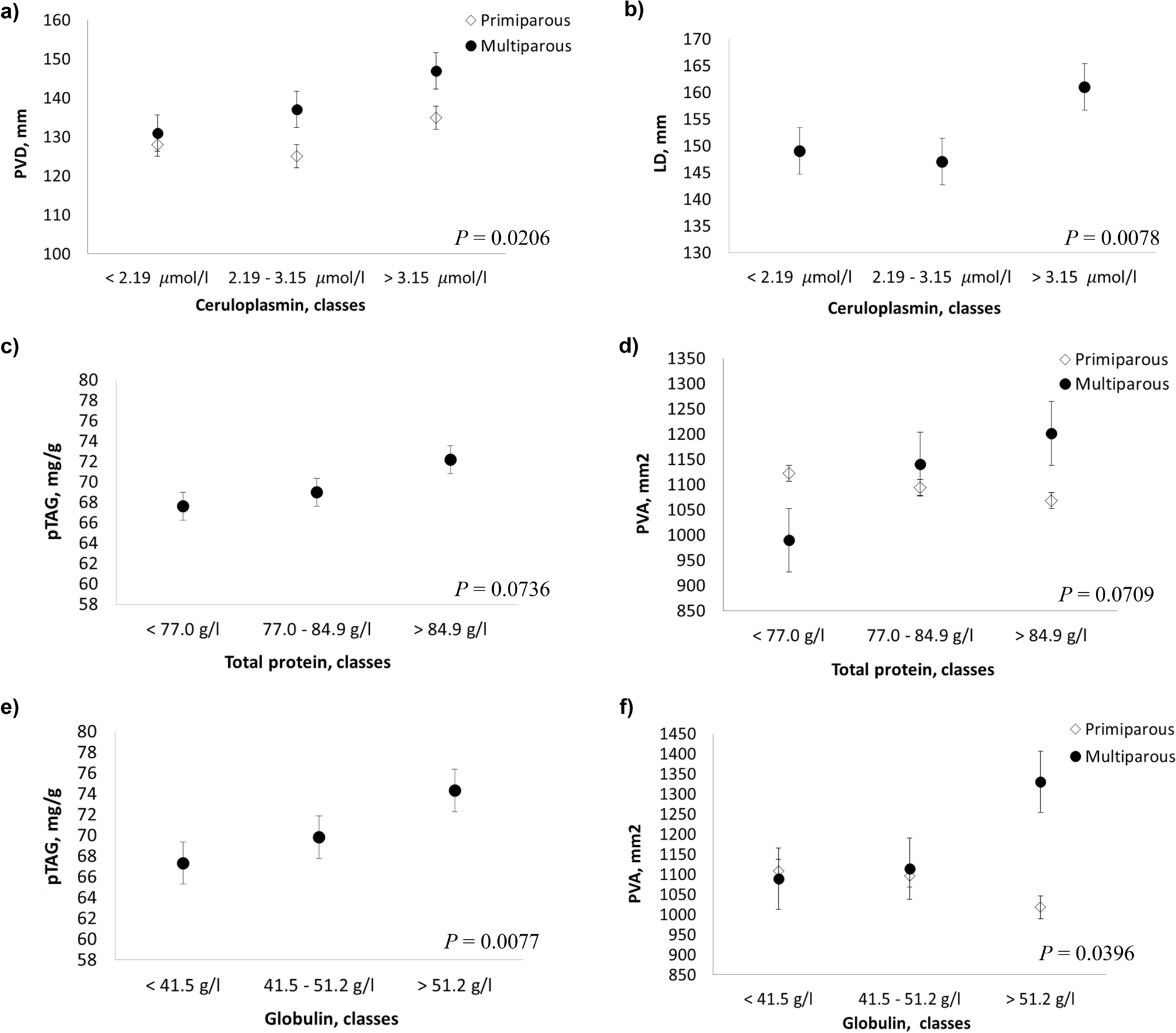
Figure 5

Least squares means (LSM) for predicted liver triacylglycerol (pTAG), portal vein area (PVA) portal vein depth (PVD) and liver depth (LD) across the classes of inflammatory/innate immunity hematic metabolites. (a, b) Ceruloplasmin; (c, d) total protein; (e, f) globulin. Black dots/rhombus indicate the LSM and error bars indicate the standard error.