Figure 5
From: Disparities in the gut metabolome of post-operative Hirschsprung's disease patients

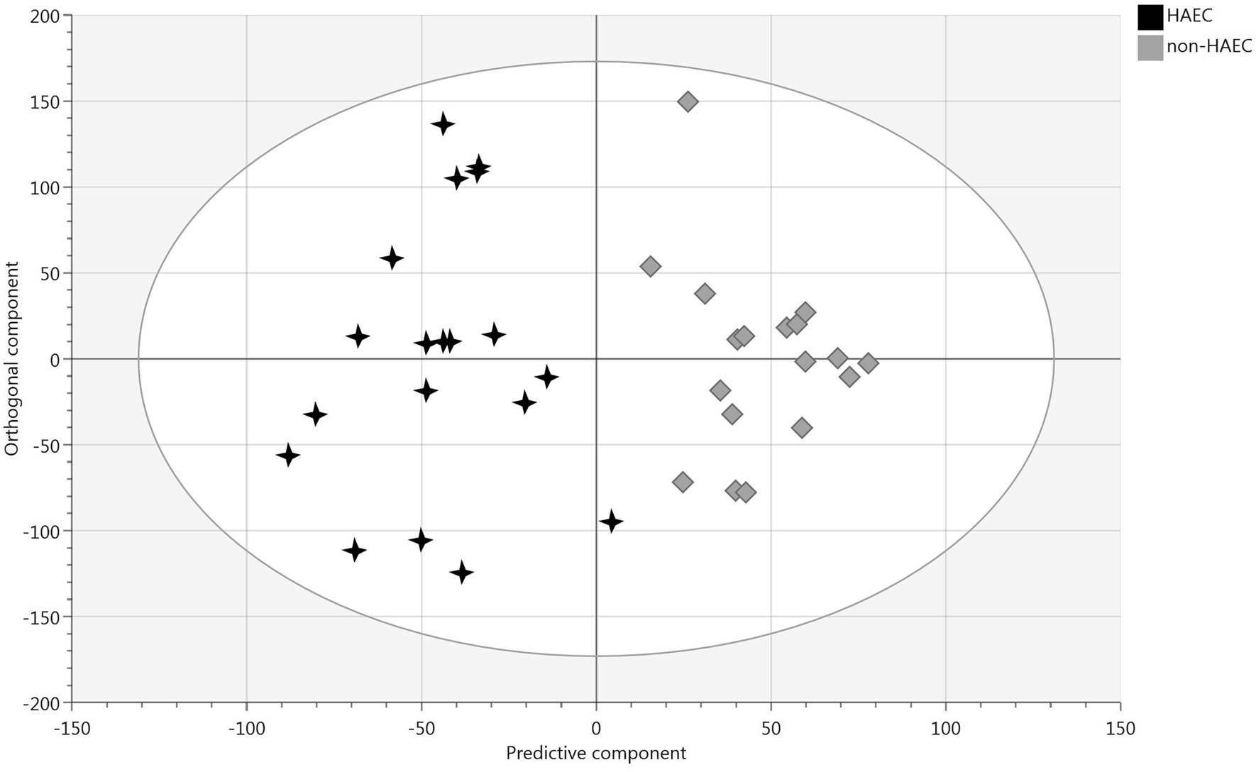
OPLS-DA scatter plot showing separation between patients with (n = 19) and without history of HAEC (n = 18). The validity of the model was confirmed (R2Y(cum) = 0.844, Q2(cum) = 0.55, CV-ANOVA p-value = 2.73e−05 and good permutation testing).