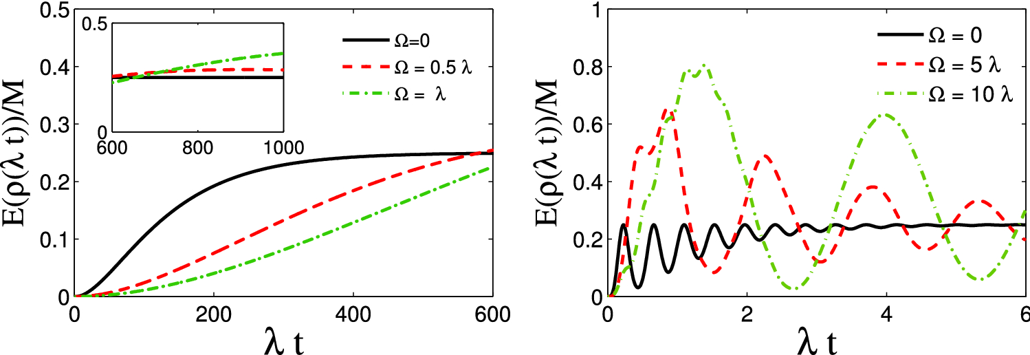
Figure 5
From: Entanglement protection of classically driven qubits in a lossy cavity

Dynamics of entanglement in the presence of classical driving field for an initially separable state for (a) weak coupling regime, i.e., \(R=0.1\) and (b) strong coupling regime, i.e., \(R=10\). In these plots, we have considered a symmetric coupling, i.e., \(r_1=\frac{1}{\sqrt{2}}\) and we have set \(\Delta =\Delta _L=0\).