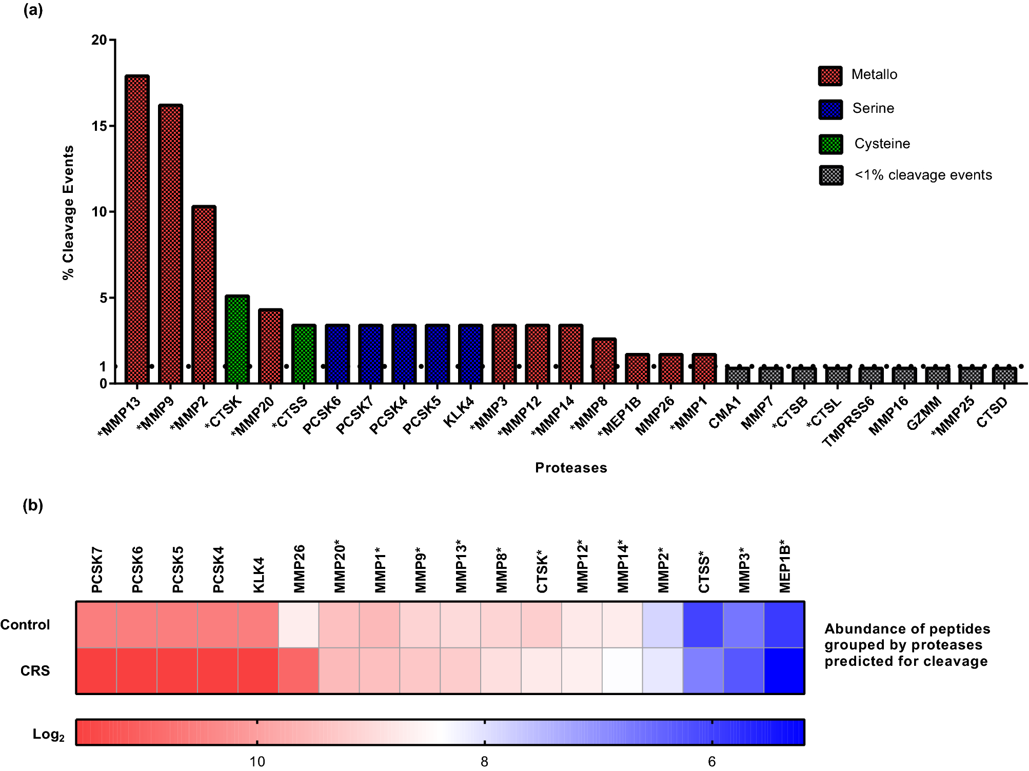
Figure 2
From: Urine peptidome analysis in cardiorenal syndrome reflects molecular processes

In silico predicted proteases. (a) The 27 predicted proteases are presented. Of these, 18 were linked to ≥ 1% of cleavage events and are highlighted in red, blue and green whereas 9 had < 1% of cleavage events (highlighted in grey). The 15 predicted proteases which were involved in the generation of the 193 CRS-specific peptides are marked with an asterisk. The catalytic mechanism of the shortlisted proteases is also depicted. (b) Heat map of the log2 transformed abundance of the differentially excreted peptides predicted as substrates of 18 shortlisted proteases by the Proteasix. The predicted proteases which were associated with the 193 CRS-specific peptides are marked with an asterisk.