Figure 3
From: Dynamics of cocoa fermentation and its effect on quality

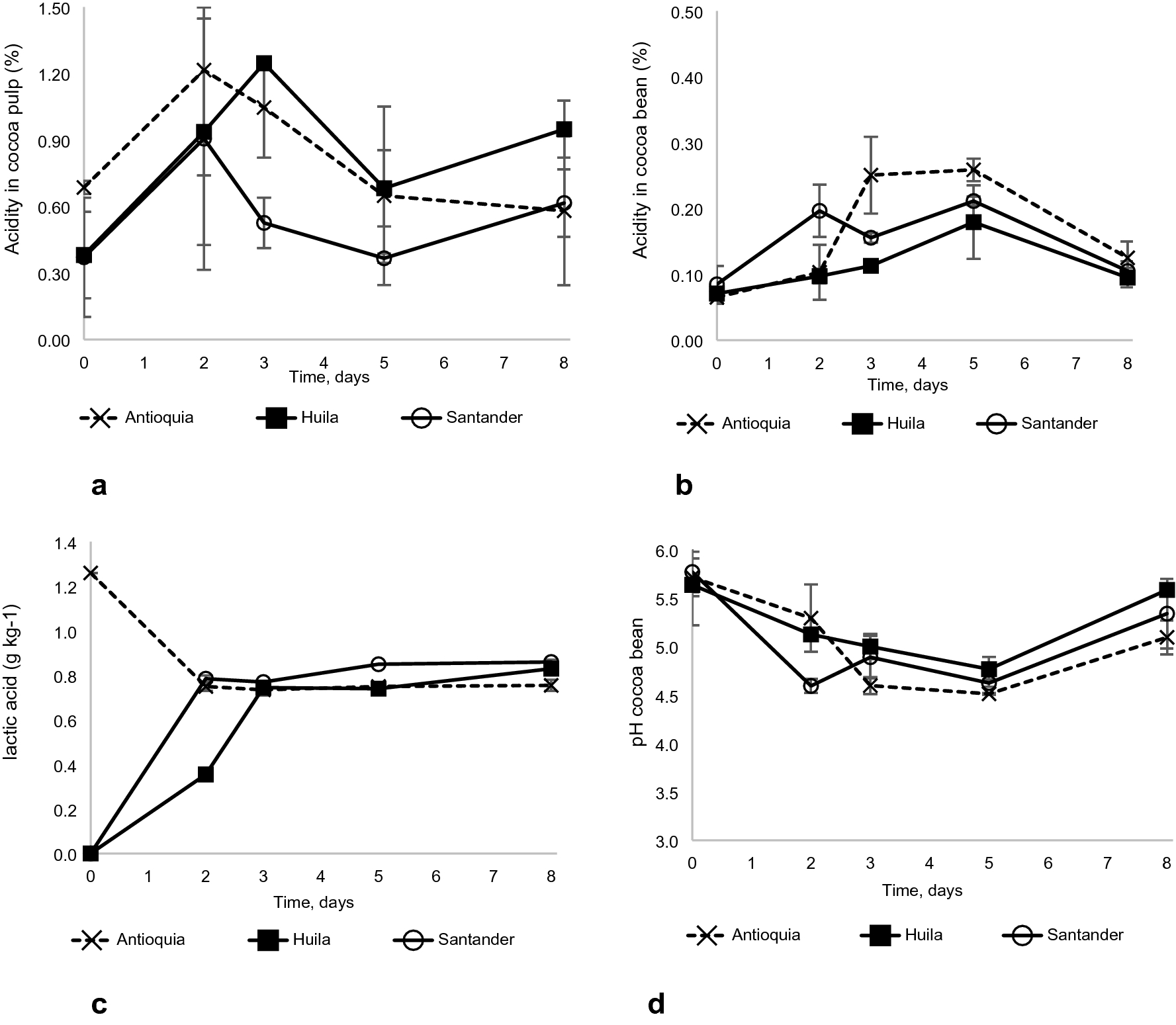
Dynamics of four variables during cocoa fermentation in three locations; Antioquia, Huila and Santander: (a) Acidity of the pulp, (b) acidity of the bean, (c) concentration of lactic acid, and (d) pH of the bean.