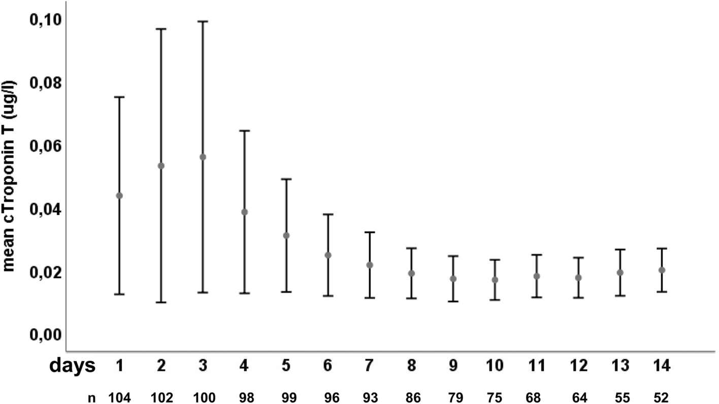
Figure 1
From: Association of Troponin T levels and functional outcome 3 months after subarachnoid hemorrhage

Troponin T levels over time. Mean high sensitive Troponin T levels on the first 14 days after subarachnoid hemorrhage (SAH). Bars represent 95% confidence interval (CI). Day 1 refers to admission.