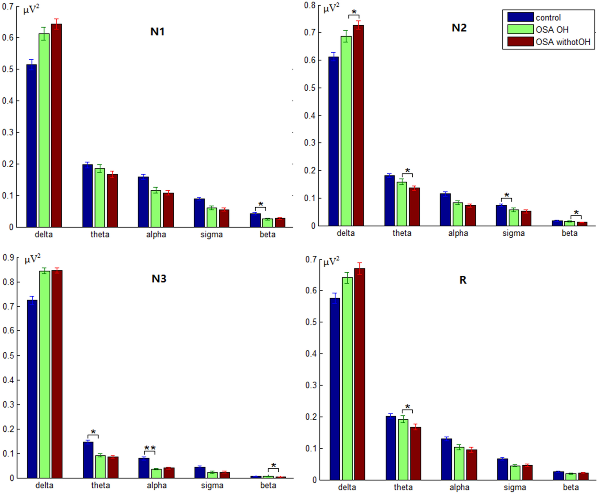
Figure 4

The delta, theta, alpha, sigma and beta power in four sleep stages in controls, OSA_OH and OSA_withoutOH patients ( P* < 0.05, P** < 0.05).

The delta, theta, alpha, sigma and beta power in four sleep stages in controls, OSA_OH and OSA_withoutOH patients ( P* < 0.05, P** < 0.05).